飞出大气层是第几宇宙速度(假如人类突然消失地球有什么变化)

首页 » 影视资讯 » 正文

在爱因斯坦的相对论没有出来之前,这个问题毫无疑问谁都知道就是过了两个小时而已,即使到现在为止牛顿的绝对时空观也是深入人心的。

但现在我们知道了时间是相对的,无论是物体的运动速度还是引力的大小都可以影响时间的流逝速度。而对于这个问题要用狭义相对论的时间膨胀膨胀效应来解释。首选来说有静止质量的物质达不到光速,那就假设离开地球的这个人是无限接近于光速的,虽然技术上达不到但是理论上可行。

假设这往返两个小时的时间指的是地球上的时间

在这种情况下一个人以无限接近于光速的速度离开地球,之后返回地球,一共用了地球上的两个小时的时间。那么地球上就是过了两个小时而已,而这个人由于以接近光速的速度离开的,所以时间流逝速度极慢,对于他自己来说可能就经过了0.0000000~00001秒。

假设这往返两个小时的时间指的是这个接近光速飞行的人的时间

根据狭义相对论我们知道运动速度影响了本身的时间流逝速度,也就是这个接近光速飞行的人的时间流逝是极其缓慢的,趋近于停止了。如果按照他自己的时间过了两个小时,那么地球上可能经过了两千年、两万年、两亿年早都是沧海桑田了。

时间是相对的总是给人感觉很奇妙荒诞的感觉,但事实即是如此。现在对于好多人来说思维中的时间就是绝对的,当然这在日常生活中并无影响。但是当速度接近光速的时候,或者处在引力更大的地方,影响会更加明显的,那个时候就忽略不了了。


图片来源网络侵删。

这里是科学黑洞,欢迎你的关注与点评。

首先根据狭义相对论,这个前提条件是不能成立的,人或者其他静质量不为零的物体所能达到的速度(v)都只能低于光速(c)。对这个问题的前提条件稍微改一下,如果有人以亚光速运动,那么,这会出现怎样的情况呢?

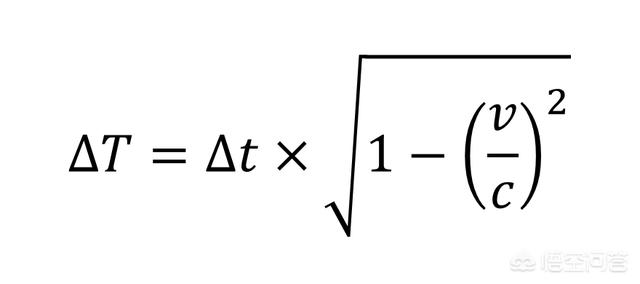
狭义相对论告诉我们,宇宙中不存在统一的绝对时间。如果对不同的参照系之间的时间进行比较,就会发现时间流逝速率并非统一。如果一个参照系保持相对静止,比如地球,另一个参照系做相对运动,比如从地球离开的飞船,那么,相比地球而言,飞船上的时间会变慢。假设运动参照系的时间为ΔT,相对静止参照系的时间为Δt,那么根据钟慢效应可得下式:

假如飞船以0.99999996c的速度离开地球,并在一小时后以相同速度返回地球。这里还有个问题,这个一小时的时间是哪个参照系的时间,不同参照系会得出不同结论。

如果这个一小时是相对于地球,那么,地球观测者会认为飞船的太空之旅耗费了大约两个小时。根据上式计算可知,飞船观测者会认为这段太空之旅的时间只有2秒。

另一方面,如果这个一小时是相对于飞船,那么,飞船观测者会认为飞船的太空之旅耗费了两个小时。根据上式计算可知,地球观测者会认为这段太空之旅的时间长达295天。

地球停电一个小时,真的太好了,十个小时也没事的。都放假了,在家玩呢,一切回到解放前呢

本文来自投稿,不代表本站立场,如若转载,请注明出处:https://www.cxcxb.com/artdetail-48916/
 推荐视频

钻石般的她

路易莎·拉涅瑞 杰丝敏·特丽卡 斯特凡诺·阿科尔西 卢卡·巴尔巴罗萨 萨拉·博西 洛雷达纳·卡纳塔 杰皮·库奇阿里 安娜·费泽蒂 奥罗拉·乔维纳佐 妮可·吉玛多 米莱娜·曼奇尼 维尼乔·马尔基奥尼 葆拉·米纳乔尼 爱多阿多·普尔加托里 卡尔米内·雷卡诺 艾莱娜·索菲亚·里奇 卢妮塔·萨维诺 凡妮莎·斯卡莱拉 卡拉·西格诺里斯 卡夏·斯穆特尼亚克

观世音国语

赵雅芝 任达华 吴君如 刘丹

三星堆里有个村

黄品沅 杨迪 赵海燕 张歆怡 吕昀峰 赵亮 刘仪伟 郑彧垚 毛明睿 庞润宇 张小红 曾晓琴 毛禹俊辰 魏珍珍 紫鸢 侯少见 巫兴义 黄海波 车大全 周帝 湛瑞雪 马永华 卿玉婷 刘期军 温成良 刘诗兵 罗润波 林中述 湛方保 范伦建 魏盛江 王友顺 游洪清 林明举 袁宗俊 余诗海 庄景伟 卿尚军 黄兴利

雷杰普的精彩人生7

沙汗.古克巴卡尔 Öznur Serçeler Irfan Kangi

无名指国语

郭富城   许恩怡   鲍起静   梁咏琪   谭耀文

神鬼猎人:在结冰的路上

Milo Parker Anke Engelke Bastian Pastewka

美少女战士Sailor Stars国语

三石琴乃 久川绫 富泽美智惠 筱原惠美 深见梨加 荒木香惠 石田彰 古川登志夫 古谷彻

朋克 三角

长野凌大   藤林泰也   雏形明子   栗原类   中村純猛   秋谷百音   姫子松柾   大川優羽   鈴木恒守   凜大

穿越时空的少女1994

内田有纪 河相我聞 鈴木蘭々 菅野美穂 山下真希 森本レオ 吉沢京子 安室奈美恵 塚本信夫

手机刑事-钱形舞

堀北真希 山下真司 金刚地武志

 用户评论
 正在加载