中科院教授讲星际穿越电影(星际穿越科普电影)

首页 » 热门资讯 » 正文

确切的问法应该是该剧有哪些不靠谱的科学假设?与宗教相似,艺术求创新不求论证或实证,没有错误可言,大凡能卖座的艺术和宗教肯定错不了。

该剧力求科学严谨,还请了个理论天体物理学家做技术顾问。天体物理学算得上是一门最有代表性的科学,科学做学问的基本思路就是理论假设,接着对理论进行论证或实证,实际上就是古希腊人发明的形而上学逻辑论证。扫读了下已发表的回答,不妨补充下《星际穿越》的三个最基本的艺术夸张和科学误导,虫洞、黑洞和万能公式。

首先,虫洞是个理论假设,基于爱因斯坦的相对论。相对论推断时空可以弯曲,虫洞就是基于时空弯曲这个推断的进一步假设。理论上在表达相对论时为了视觉方便,“三维”之体的时空往往画成“二维”的面,如图,

剧中科学家Romilly用一张纸和一支笔对虫洞的生成做了个精彩的演示。那张纸代表爱因斯坦的“二维”时空,他先用笔在纸面画上间距分开的两个点,分别代表了前后两个任意的时空,比如,今日十二点正的地球相对一万年前半夜十二点的遥远的某星系某星球。既然面可以假设弯曲,那么面也可以假设折叠。于是,Romilly将纸弯曲并对折,使原来前后分开的两个时空点相互接近甚至接触。他再用笔刺穿了纸上两个点的重叠处,于是虫洞就如此这般奇迹诞生了。换言之,宇航员就像那支笔一样可以穿越时空,或前穿或后穿,如图

你相信上述的科学吗?事实上,穿越时空的假设是建立在一系列假设的逻辑推理假想而已,不是真的:

  1. 假设的时空不可折叠。爱因斯坦假设的时空不是“二维”之面而是“三维”之体,你如何折叠一个“三维”体??

  2. 时空本身就是个假设。爱因斯坦在数学操作中假设时间为另一个空间维度而由此发明了时空的概念。现实中时间只是空间变化的历史,并不是实际的存在,换言之,时间是虚假的意念存在而不是真实的空间存在。

  3. 几何的空间维度本身也是个数学假设,事实上我们一直就生活在一个多维的空间。维度也就是空间的走向,所谓的几何维度实为一个凭空捏造的理念,基于笛卡尔为计算空间点位置的方便而发明的坐标系。维度的定义来自欧几里德几何,零维被定义为占零空间的点、一维占零宽度的线、二维占零厚度的面。现实中有谁真见过不占空间的点、无宽的线和无厚的面??可见,

  4. 几何就是假的,而爱因斯坦的相对论正是以几何为数学基础的理论。

综上所述,艺术上的穿越基于了科学上的多重连环假设,其中没有一环得到过实证。任何没有实证的假设都不是真的、都不靠谱。

其次,除了通过一系列假设而凭空捏造的虫洞,《星际穿越》的另一个科学假设就是黑洞。由于黑洞引力特大,接近黑洞的生命就相对活得特长,与之相应的时间也相对变得特慢,因此远航到黑洞附近的宇航员相对地球而言大大“延长”了生命,他们在黑洞附近活过的几十个小时相当于在地球上的几十年。显然,该剧的科学顾问、理论物理学家Kip Thorne(故意)忘记了计算由于引力增加而引起的宇航员的体重增加,换言之,按剧情接近黑洞,Cooper等的体重起码要增加相当于他在地球体重的好几万倍,那么,剧中的Cooper等如何能轻松地生活和作业而没被自身的体重压死?

最后,当然就是Brand教授几十年解决不了,由Cooper的天才女儿Murph解出的那个万能方程公式,完美诠释了万有引力的奥妙,继而成功地把拣选而数量有限的幸存者带离了末日降临的地球。什么叫万能公式或称万物理论?就是完美结合宏观相对论和微观量子力学以后推演出的全能全智的数学公式,再加用于拯救世界的全善。哲学上,相对论是决定论而量子力学是随机论,祈求两个本质上矛盾的理论实现统一并属实,理论上和实际上的难度相当于论证上帝的存在,科学与神学的完美结合。

好莱坞的科幻实为宗教,现代科学的发展不但无碍宗教,反而为宗教神学提供了更多的假设、更广的假想,因为科学的前身就是古希腊的形而上学,而形而上学与神学共享了同一个超自然的思维。就穿越科幻片而言,我认为2016年的《降临》更有创新性(参见我的回答)。做科学的确需要创新的想象和假设,做神学也一样。如何区别神学和科学、其中再夹个形而上学,正确引导青少年热爱科学、识别神学?这是项技术挑战性很强的教育任务。

北大教授说:我拒绝回答,那是我的权利!

确切的问法应该是该剧有哪些不靠谱的科学假设?与宗教相似,艺术求创新不求论证或实证,没有错误可言,大凡能卖座的艺术和宗教肯定错不了。

该剧力求科学严谨,还请了个理论天体物理学家做技术顾问。天体物理学算得上是一门最有代表性的科学,科学做学问的基本思路就是理论假设,接着对理论进行论证或实证,实际上就是古希腊人发明的形而上学逻辑论证。扫读了下已发表的回答,不妨补充下《星际穿越》的三个最基本的艺术夸张和科学误导,虫洞、黑洞和万能公式。

首先,虫洞是个理论假设,基于爱因斯坦的相对论。相对论推断时空可以弯曲,虫洞就是基于时空弯曲这个推断的进一步假设。理论上在表达相对论时为了视觉方便,“三维”之体的时空往往画成“二维”的面,如图,

剧中科学家Romilly用一张纸和一支笔对虫洞的生成做了个精彩的演示。那张纸代表爱因斯坦的“二维”时空,他先用笔在纸面画上间距分开的两个点,分别代表了前后两个任意的时空,比如,今日十二点正的地球相对一万年前半夜十二点的遥远的某星系某星球。既然面可以假设弯曲,那么面也可以假设折叠。于是,Romilly将纸弯曲并对折,使原来前后分开的两个时空点相互接近甚至接触。他再用笔刺穿了纸上两个点的重叠处,于是虫洞就如此这般奇迹诞生了。换言之,宇航员就像那支笔一样可以穿越时空,或前穿或后穿,如图

你相信上述的科学吗?事实上,穿越时空的假设是建立在一系列假设的逻辑推理假想而已,不是真的:

  1. 假设的时空不可折叠。爱因斯坦假设的时空不是“二维”之面而是“三维”之体,你如何折叠一个“三维”体??

  2. 时空本身就是个假设。爱因斯坦在数学操作中假设时间为另一个空间维度而由此发明了时空的概念。现实中时间只是空间变化的历史,并不是实际的存在,换言之,时间是虚假的意念存在而不是真实的空间存在。

  3. 几何的空间维度本身也是个数学假设,事实上我们一直就生活在一个多维的空间。维度也就是空间的走向,所谓的几何维度实为一个凭空捏造的理念,基于笛卡尔为计算空间点位置的方便而发明的坐标系。维度的定义来自欧几里德几何,零维被定义为占零空间的点、一维占零宽度的线、二维占零厚度的面。现实中有谁真见过不占空间的点、无宽的线和无厚的面??可见,

  4. 几何就是假的,而爱因斯坦的相对论正是以几何为数学基础的理论。

综上所述,艺术上的穿越基于了科学上的多重连环假设,其中没有一环得到过实证。任何没有实证的假设都不是真的、都不靠谱。

其次,除了通过一系列假设而凭空捏造的虫洞,《星际穿越》的另一个科学假设就是黑洞。由于黑洞引力特大,接近黑洞的生命就相对活得特长,与之相应的时间也相对变得特慢,因此远航到黑洞附近的宇航员相对地球而言大大“延长”了生命,他们在黑洞附近活过的几十个小时相当于在地球上的几十年。显然,该剧的科学顾问、理论物理学家Kip Thorne(故意)忘记了计算由于引力增加而引起的宇航员的体重增加,换言之,按剧情接近黑洞,Cooper等的体重起码要增加相当于他在地球体重的好几万倍,那么,剧中的Cooper等如何能轻松地生活和作业而没被自身的体重压死?

最后,当然就是Brand教授几十年解决不了,由Cooper的天才女儿Murph解出的那个万能方程公式,完美诠释了万有引力的奥妙,继而成功地把拣选而数量有限的幸存者带离了末日降临的地球。什么叫万能公式或称万物理论?就是完美结合宏观相对论和微观量子力学以后推演出的全能全智的数学公式,再加用于拯救世界的全善。哲学上,相对论是决定论而量子力学是随机论,祈求两个本质上矛盾的理论实现统一并属实,理论上和实际上的难度相当于论证上帝的存在,科学与神学的完美结合。

好莱坞的科幻实为宗教,现代科学的发展不但无碍宗教,反而为宗教神学提供了更多的假设、更广的假想,因为科学的前身就是古希腊的形而上学,而形而上学与神学共享了同一个超自然的思维。就穿越科幻片而言,我认为2016年的《降临》更有创新性(参见我的回答)。做科学的确需要创新的想象和假设,做神学也一样。如何区别神学和科学、其中再夹个形而上学,正确引导青少年热爱科学、识别神学?这是项技术挑战性很强的教育任务。

北大教授说:我拒绝回答,那是我的权利!

确切的问法应该是该剧有哪些不靠谱的科学假设?与宗教相似,艺术求创新不求论证或实证,没有错误可言,大凡能卖座的艺术和宗教肯定错不了。

该剧力求科学严谨,还请了个理论天体物理学家做技术顾问。天体物理学算得上是一门最有代表性的科学,科学做学问的基本思路就是理论假设,接着对理论进行论证或实证,实际上就是古希腊人发明的形而上学逻辑论证。扫读了下已发表的回答,不妨补充下《星际穿越》的三个最基本的艺术夸张和科学误导,虫洞、黑洞和万能公式。

首先,虫洞是个理论假设,基于爱因斯坦的相对论。相对论推断时空可以弯曲,虫洞就是基于时空弯曲这个推断的进一步假设。理论上在表达相对论时为了视觉方便,“三维”之体的时空往往画成“二维”的面,如图,

剧中科学家Romilly用一张纸和一支笔对虫洞的生成做了个精彩的演示。那张纸代表爱因斯坦的“二维”时空,他先用笔在纸面画上间距分开的两个点,分别代表了前后两个任意的时空,比如,今日十二点正的地球相对一万年前半夜十二点的遥远的某星系某星球。既然面可以假设弯曲,那么面也可以假设折叠。于是,Romilly将纸弯曲并对折,使原来前后分开的两个时空点相互接近甚至接触。他再用笔刺穿了纸上两个点的重叠处,于是虫洞就如此这般奇迹诞生了。换言之,宇航员就像那支笔一样可以穿越时空,或前穿或后穿,如图

你相信上述的科学吗?事实上,穿越时空的假设是建立在一系列假设的逻辑推理假想而已,不是真的:

  1. 假设的时空不可折叠。爱因斯坦假设的时空不是“二维”之面而是“三维”之体,你如何折叠一个“三维”体??

  2. 时空本身就是个假设。爱因斯坦在数学操作中假设时间为另一个空间维度而由此发明了时空的概念。现实中时间只是空间变化的历史,并不是实际的存在,换言之,时间是虚假的意念存在而不是真实的空间存在。

  3. 几何的空间维度本身也是个数学假设,事实上我们一直就生活在一个多维的空间。维度也就是空间的走向,所谓的几何维度实为一个凭空捏造的理念,基于笛卡尔为计算空间点位置的方便而发明的坐标系。维度的定义来自欧几里德几何,零维被定义为占零空间的点、一维占零宽度的线、二维占零厚度的面。现实中有谁真见过不占空间的点、无宽的线和无厚的面??可见,

  4. 几何就是假的,而爱因斯坦的相对论正是以几何为数学基础的理论。

综上所述,艺术上的穿越基于了科学上的多重连环假设,其中没有一环得到过实证。任何没有实证的假设都不是真的、都不靠谱。

其次,除了通过一系列假设而凭空捏造的虫洞,《星际穿越》的另一个科学假设就是黑洞。由于黑洞引力特大,接近黑洞的生命就相对活得特长,与之相应的时间也相对变得特慢,因此远航到黑洞附近的宇航员相对地球而言大大“延长”了生命,他们在黑洞附近活过的几十个小时相当于在地球上的几十年。显然,该剧的科学顾问、理论物理学家Kip Thorne(故意)忘记了计算由于引力增加而引起的宇航员的体重增加,换言之,按剧情接近黑洞,Cooper等的体重起码要增加相当于他在地球体重的好几万倍,那么,剧中的Cooper等如何能轻松地生活和作业而没被自身的体重压死?

最后,当然就是Brand教授几十年解决不了,由Cooper的天才女儿Murph解出的那个万能方程公式,完美诠释了万有引力的奥妙,继而成功地把拣选而数量有限的幸存者带离了末日降临的地球。什么叫万能公式或称万物理论?就是完美结合宏观相对论和微观量子力学以后推演出的全能全智的数学公式,再加用于拯救世界的全善。哲学上,相对论是决定论而量子力学是随机论,祈求两个本质上矛盾的理论实现统一并属实,理论上和实际上的难度相当于论证上帝的存在,科学与神学的完美结合。

好莱坞的科幻实为宗教,现代科学的发展不但无碍宗教,反而为宗教神学提供了更多的假设、更广的假想,因为科学的前身就是古希腊的形而上学,而形而上学与神学共享了同一个超自然的思维。就穿越科幻片而言,我认为2016年的《降临》更有创新性(参见我的回答)。做科学的确需要创新的想象和假设,做神学也一样。如何区别神学和科学、其中再夹个形而上学,正确引导青少年热爱科学、识别神学?这是项技术挑战性很强的教育任务。

简单的说,《星际穿越》主要讲的就是,人类面对日益恶化的环境,于是准备寻找其他适宜居住的星球,通过木星旁的一个虫洞,人类穿越到距离地球很远的一个星系,在对于一个又一个的星球确认不适合居住后,被未来的人类传输了“公式”,解开了困扰人类的难题,于是人类成功的度过了这次难关。

如果说剧情的话,主要在叛变、在超立方体内传送知识这两处剧情性比较强,在别的电影情节上,主要是通过人们对于宇宙的极限思维,打造了非常棒的视觉效果。

例如因为巨大的潮汐力而产生的上百米的高浪,在超立方体内类似于“无限”的场景,都让人无比的震撼。

并且在剧情的最后,年轻依旧的库珀,来到自己已经白发苍苍的女儿面前,电影为我们打造了因为相对论关系而造成的时间偏差的场景,让我们对于科学的认知,无不感到惊奇。


我是希言,欢迎关注我了解更多科幻电影资讯,谢谢。

确切的问法应该是该剧有哪些不靠谱的科学假设?与宗教相似,艺术求创新不求论证或实证,没有错误可言,大凡能卖座的艺术和宗教肯定错不了。

该剧力求科学严谨,还请了个理论天体物理学家做技术顾问。天体物理学算得上是一门最有代表性的科学,科学做学问的基本思路就是理论假设,接着对理论进行论证或实证,实际上就是古希腊人发明的形而上学逻辑论证。扫读了下已发表的回答,不妨补充下《星际穿越》的三个最基本的艺术夸张和科学误导,虫洞、黑洞和万能公式。

首先,虫洞是个理论假设,基于爱因斯坦的相对论。相对论推断时空可以弯曲,虫洞就是基于时空弯曲这个推断的进一步假设。理论上在表达相对论时为了视觉方便,“三维”之体的时空往往画成“二维”的面,如图,

剧中科学家Romilly用一张纸和一支笔对虫洞的生成做了个精彩的演示。那张纸代表爱因斯坦的“二维”时空,他先用笔在纸面画上间距分开的两个点,分别代表了前后两个任意的时空,比如,今日十二点正的地球相对一万年前半夜十二点的遥远的某星系某星球。既然面可以假设弯曲,那么面也可以假设折叠。于是,Romilly将纸弯曲并对折,使原来前后分开的两个时空点相互接近甚至接触。他再用笔刺穿了纸上两个点的重叠处,于是虫洞就如此这般奇迹诞生了。换言之,宇航员就像那支笔一样可以穿越时空,或前穿或后穿,如图

你相信上述的科学吗?事实上,穿越时空的假设是建立在一系列假设的逻辑推理假想而已,不是真的:

  1. 假设的时空不可折叠。爱因斯坦假设的时空不是“二维”之面而是“三维”之体,你如何折叠一个“三维”体??

  2. 时空本身就是个假设。爱因斯坦在数学操作中假设时间为另一个空间维度而由此发明了时空的概念。现实中时间只是空间变化的历史,并不是实际的存在,换言之,时间是虚假的意念存在而不是真实的空间存在。

  3. 几何的空间维度本身也是个数学假设,事实上我们一直就生活在一个多维的空间。维度也就是空间的走向,所谓的几何维度实为一个凭空捏造的理念,基于笛卡尔为计算空间点位置的方便而发明的坐标系。维度的定义来自欧几里德几何,零维被定义为占零空间的点、一维占零宽度的线、二维占零厚度的面。现实中有谁真见过不占空间的点、无宽的线和无厚的面??可见,

  4. 几何就是假的,而爱因斯坦的相对论正是以几何为数学基础的理论。

综上所述,艺术上的穿越基于了科学上的多重连环假设,其中没有一环得到过实证。任何没有实证的假设都不是真的、都不靠谱。

其次,除了通过一系列假设而凭空捏造的虫洞,《星际穿越》的另一个科学假设就是黑洞。由于黑洞引力特大,接近黑洞的生命就相对活得特长,与之相应的时间也相对变得特慢,因此远航到黑洞附近的宇航员相对地球而言大大“延长”了生命,他们在黑洞附近活过的几十个小时相当于在地球上的几十年。显然,该剧的科学顾问、理论物理学家Kip Thorne(故意)忘记了计算由于引力增加而引起的宇航员的体重增加,换言之,按剧情接近黑洞,Cooper等的体重起码要增加相当于他在地球体重的好几万倍,那么,剧中的Cooper等如何能轻松地生活和作业而没被自身的体重压死?

最后,当然就是Brand教授几十年解决不了,由Cooper的天才女儿Murph解出的那个万能方程公式,完美诠释了万有引力的奥妙,继而成功地把拣选而数量有限的幸存者带离了末日降临的地球。什么叫万能公式或称万物理论?就是完美结合宏观相对论和微观量子力学以后推演出的全能全智的数学公式,再加用于拯救世界的全善。哲学上,相对论是决定论而量子力学是随机论,祈求两个本质上矛盾的理论实现统一并属实,理论上和实际上的难度相当于论证上帝的存在,科学与神学的完美结合。

好莱坞的科幻实为宗教,现代科学的发展不但无碍宗教,反而为宗教神学提供了更多的假设、更广的假想,因为科学的前身就是古希腊的形而上学,而形而上学与神学共享了同一个超自然的思维。就穿越科幻片而言,我认为2016年的《降临》更有创新性(参见我的回答)。做科学的确需要创新的想象和假设,做神学也一样。如何区别神学和科学、其中再夹个形而上学,正确引导青少年热爱科学、识别神学?这是项技术挑战性很强的教育任务。

北大教授说:我拒绝回答,那是我的权利!

确切的问法应该是该剧有哪些不靠谱的科学假设?与宗教相似,艺术求创新不求论证或实证,没有错误可言,大凡能卖座的艺术和宗教肯定错不了。

该剧力求科学严谨,还请了个理论天体物理学家做技术顾问。天体物理学算得上是一门最有代表性的科学,科学做学问的基本思路就是理论假设,接着对理论进行论证或实证,实际上就是古希腊人发明的形而上学逻辑论证。扫读了下已发表的回答,不妨补充下《星际穿越》的三个最基本的艺术夸张和科学误导,虫洞、黑洞和万能公式。

首先,虫洞是个理论假设,基于爱因斯坦的相对论。相对论推断时空可以弯曲,虫洞就是基于时空弯曲这个推断的进一步假设。理论上在表达相对论时为了视觉方便,“三维”之体的时空往往画成“二维”的面,如图,

剧中科学家Romilly用一张纸和一支笔对虫洞的生成做了个精彩的演示。那张纸代表爱因斯坦的“二维”时空,他先用笔在纸面画上间距分开的两个点,分别代表了前后两个任意的时空,比如,今日十二点正的地球相对一万年前半夜十二点的遥远的某星系某星球。既然面可以假设弯曲,那么面也可以假设折叠。于是,Romilly将纸弯曲并对折,使原来前后分开的两个时空点相互接近甚至接触。他再用笔刺穿了纸上两个点的重叠处,于是虫洞就如此这般奇迹诞生了。换言之,宇航员就像那支笔一样可以穿越时空,或前穿或后穿,如图

你相信上述的科学吗?事实上,穿越时空的假设是建立在一系列假设的逻辑推理假想而已,不是真的:

  1. 假设的时空不可折叠。爱因斯坦假设的时空不是“二维”之面而是“三维”之体,你如何折叠一个“三维”体??

  2. 时空本身就是个假设。爱因斯坦在数学操作中假设时间为另一个空间维度而由此发明了时空的概念。现实中时间只是空间变化的历史,并不是实际的存在,换言之,时间是虚假的意念存在而不是真实的空间存在。

  3. 几何的空间维度本身也是个数学假设,事实上我们一直就生活在一个多维的空间。维度也就是空间的走向,所谓的几何维度实为一个凭空捏造的理念,基于笛卡尔为计算空间点位置的方便而发明的坐标系。维度的定义来自欧几里德几何,零维被定义为占零空间的点、一维占零宽度的线、二维占零厚度的面。现实中有谁真见过不占空间的点、无宽的线和无厚的面??可见,

  4. 几何就是假的,而爱因斯坦的相对论正是以几何为数学基础的理论。

综上所述,艺术上的穿越基于了科学上的多重连环假设,其中没有一环得到过实证。任何没有实证的假设都不是真的、都不靠谱。

其次,除了通过一系列假设而凭空捏造的虫洞,《星际穿越》的另一个科学假设就是黑洞。由于黑洞引力特大,接近黑洞的生命就相对活得特长,与之相应的时间也相对变得特慢,因此远航到黑洞附近的宇航员相对地球而言大大“延长”了生命,他们在黑洞附近活过的几十个小时相当于在地球上的几十年。显然,该剧的科学顾问、理论物理学家Kip Thorne(故意)忘记了计算由于引力增加而引起的宇航员的体重增加,换言之,按剧情接近黑洞,Cooper等的体重起码要增加相当于他在地球体重的好几万倍,那么,剧中的Cooper等如何能轻松地生活和作业而没被自身的体重压死?

最后,当然就是Brand教授几十年解决不了,由Cooper的天才女儿Murph解出的那个万能方程公式,完美诠释了万有引力的奥妙,继而成功地把拣选而数量有限的幸存者带离了末日降临的地球。什么叫万能公式或称万物理论?就是完美结合宏观相对论和微观量子力学以后推演出的全能全智的数学公式,再加用于拯救世界的全善。哲学上,相对论是决定论而量子力学是随机论,祈求两个本质上矛盾的理论实现统一并属实,理论上和实际上的难度相当于论证上帝的存在,科学与神学的完美结合。

好莱坞的科幻实为宗教,现代科学的发展不但无碍宗教,反而为宗教神学提供了更多的假设、更广的假想,因为科学的前身就是古希腊的形而上学,而形而上学与神学共享了同一个超自然的思维。就穿越科幻片而言,我认为2016年的《降临》更有创新性(参见我的回答)。做科学的确需要创新的想象和假设,做神学也一样。如何区别神学和科学、其中再夹个形而上学,正确引导青少年热爱科学、识别神学?这是项技术挑战性很强的教育任务。

简单的说,《星际穿越》主要讲的就是,人类面对日益恶化的环境,于是准备寻找其他适宜居住的星球,通过木星旁的一个虫洞,人类穿越到距离地球很远的一个星系,在对于一个又一个的星球确认不适合居住后,被未来的人类传输了“公式”,解开了困扰人类的难题,于是人类成功的度过了这次难关。

如果说剧情的话,主要在叛变、在超立方体内传送知识这两处剧情性比较强,在别的电影情节上,主要是通过人们对于宇宙的极限思维,打造了非常棒的视觉效果。

例如因为巨大的潮汐力而产生的上百米的高浪,在超立方体内类似于“无限”的场景,都让人无比的震撼。

并且在剧情的最后,年轻依旧的库珀,来到自己已经白发苍苍的女儿面前,电影为我们打造了因为相对论关系而造成的时间偏差的场景,让我们对于科学的认知,无不感到惊奇。


我是希言,欢迎关注我了解更多科幻电影资讯,谢谢。

确切的问法应该是该剧有哪些不靠谱的科学假设?与宗教相似,艺术求创新不求论证或实证,没有错误可言,大凡能卖座的艺术和宗教肯定错不了。

该剧力求科学严谨,还请了个理论天体物理学家做技术顾问。天体物理学算得上是一门最有代表性的科学,科学做学问的基本思路就是理论假设,接着对理论进行论证或实证,实际上就是古希腊人发明的形而上学逻辑论证。扫读了下已发表的回答,不妨补充下《星际穿越》的三个最基本的艺术夸张和科学误导,虫洞、黑洞和万能公式。

首先,虫洞是个理论假设,基于爱因斯坦的相对论。相对论推断时空可以弯曲,虫洞就是基于时空弯曲这个推断的进一步假设。理论上在表达相对论时为了视觉方便,“三维”之体的时空往往画成“二维”的面,如图,

剧中科学家Romilly用一张纸和一支笔对虫洞的生成做了个精彩的演示。那张纸代表爱因斯坦的“二维”时空,他先用笔在纸面画上间距分开的两个点,分别代表了前后两个任意的时空,比如,今日十二点正的地球相对一万年前半夜十二点的遥远的某星系某星球。既然面可以假设弯曲,那么面也可以假设折叠。于是,Romilly将纸弯曲并对折,使原来前后分开的两个时空点相互接近甚至接触。他再用笔刺穿了纸上两个点的重叠处,于是虫洞就如此这般奇迹诞生了。换言之,宇航员就像那支笔一样可以穿越时空,或前穿或后穿,如图

你相信上述的科学吗?事实上,穿越时空的假设是建立在一系列假设的逻辑推理假想而已,不是真的:

  1. 假设的时空不可折叠。爱因斯坦假设的时空不是“二维”之面而是“三维”之体,你如何折叠一个“三维”体??

  2. 时空本身就是个假设。爱因斯坦在数学操作中假设时间为另一个空间维度而由此发明了时空的概念。现实中时间只是空间变化的历史,并不是实际的存在,换言之,时间是虚假的意念存在而不是真实的空间存在。

  3. 几何的空间维度本身也是个数学假设,事实上我们一直就生活在一个多维的空间。维度也就是空间的走向,所谓的几何维度实为一个凭空捏造的理念,基于笛卡尔为计算空间点位置的方便而发明的坐标系。维度的定义来自欧几里德几何,零维被定义为占零空间的点、一维占零宽度的线、二维占零厚度的面。现实中有谁真见过不占空间的点、无宽的线和无厚的面??可见,

  4. 几何就是假的,而爱因斯坦的相对论正是以几何为数学基础的理论。

综上所述,艺术上的穿越基于了科学上的多重连环假设,其中没有一环得到过实证。任何没有实证的假设都不是真的、都不靠谱。

其次,除了通过一系列假设而凭空捏造的虫洞,《星际穿越》的另一个科学假设就是黑洞。由于黑洞引力特大,接近黑洞的生命就相对活得特长,与之相应的时间也相对变得特慢,因此远航到黑洞附近的宇航员相对地球而言大大“延长”了生命,他们在黑洞附近活过的几十个小时相当于在地球上的几十年。显然,该剧的科学顾问、理论物理学家Kip Thorne(故意)忘记了计算由于引力增加而引起的宇航员的体重增加,换言之,按剧情接近黑洞,Cooper等的体重起码要增加相当于他在地球体重的好几万倍,那么,剧中的Cooper等如何能轻松地生活和作业而没被自身的体重压死?

最后,当然就是Brand教授几十年解决不了,由Cooper的天才女儿Murph解出的那个万能方程公式,完美诠释了万有引力的奥妙,继而成功地把拣选而数量有限的幸存者带离了末日降临的地球。什么叫万能公式或称万物理论?就是完美结合宏观相对论和微观量子力学以后推演出的全能全智的数学公式,再加用于拯救世界的全善。哲学上,相对论是决定论而量子力学是随机论,祈求两个本质上矛盾的理论实现统一并属实,理论上和实际上的难度相当于论证上帝的存在,科学与神学的完美结合。

好莱坞的科幻实为宗教,现代科学的发展不但无碍宗教,反而为宗教神学提供了更多的假设、更广的假想,因为科学的前身就是古希腊的形而上学,而形而上学与神学共享了同一个超自然的思维。就穿越科幻片而言,我认为2016年的《降临》更有创新性(参见我的回答)。做科学的确需要创新的想象和假设,做神学也一样。如何区别神学和科学、其中再夹个形而上学,正确引导青少年热爱科学、识别神学?这是项技术挑战性很强的教育任务。

简单的说,《星际穿越》主要讲的就是,人类面对日益恶化的环境,于是准备寻找其他适宜居住的星球,通过木星旁的一个虫洞,人类穿越到距离地球很远的一个星系,在对于一个又一个的星球确认不适合居住后,被未来的人类传输了“公式”,解开了困扰人类的难题,于是人类成功的度过了这次难关。

如果说剧情的话,主要在叛变、在超立方体内传送知识这两处剧情性比较强,在别的电影情节上,主要是通过人们对于宇宙的极限思维,打造了非常棒的视觉效果。

例如因为巨大的潮汐力而产生的上百米的高浪,在超立方体内类似于“无限”的场景,都让人无比的震撼。

并且在剧情的最后,年轻依旧的库珀,来到自己已经白发苍苍的女儿面前,电影为我们打造了因为相对论关系而造成的时间偏差的场景,让我们对于科学的认知,无不感到惊奇。


我是希言,欢迎关注我了解更多科幻电影资讯,谢谢。

确切的问法应该是该剧有哪些不靠谱的科学假设?与宗教相似,艺术求创新不求论证或实证,没有错误可言,大凡能卖座的艺术和宗教肯定错不了。

该剧力求科学严谨,还请了个理论天体物理学家做技术顾问。天体物理学算得上是一门最有代表性的科学,科学做学问的基本思路就是理论假设,接着对理论进行论证或实证,实际上就是古希腊人发明的形而上学逻辑论证。扫读了下已发表的回答,不妨补充下《星际穿越》的三个最基本的艺术夸张和科学误导,虫洞、黑洞和万能公式。

首先,虫洞是个理论假设,基于爱因斯坦的相对论。相对论推断时空可以弯曲,虫洞就是基于时空弯曲这个推断的进一步假设。理论上在表达相对论时为了视觉方便,“三维”之体的时空往往画成“二维”的面,如图,

剧中科学家Romilly用一张纸和一支笔对虫洞的生成做了个精彩的演示。那张纸代表爱因斯坦的“二维”时空,他先用笔在纸面画上间距分开的两个点,分别代表了前后两个任意的时空,比如,今日十二点正的地球相对一万年前半夜十二点的遥远的某星系某星球。既然面可以假设弯曲,那么面也可以假设折叠。于是,Romilly将纸弯曲并对折,使原来前后分开的两个时空点相互接近甚至接触。他再用笔刺穿了纸上两个点的重叠处,于是虫洞就如此这般奇迹诞生了。换言之,宇航员就像那支笔一样可以穿越时空,或前穿或后穿,如图

你相信上述的科学吗?事实上,穿越时空的假设是建立在一系列假设的逻辑推理假想而已,不是真的:

  1. 假设的时空不可折叠。爱因斯坦假设的时空不是“二维”之面而是“三维”之体,你如何折叠一个“三维”体??

  2. 时空本身就是个假设。爱因斯坦在数学操作中假设时间为另一个空间维度而由此发明了时空的概念。现实中时间只是空间变化的历史,并不是实际的存在,换言之,时间是虚假的意念存在而不是真实的空间存在。

  3. 几何的空间维度本身也是个数学假设,事实上我们一直就生活在一个多维的空间。维度也就是空间的走向,所谓的几何维度实为一个凭空捏造的理念,基于笛卡尔为计算空间点位置的方便而发明的坐标系。维度的定义来自欧几里德几何,零维被定义为占零空间的点、一维占零宽度的线、二维占零厚度的面。现实中有谁真见过不占空间的点、无宽的线和无厚的面??可见,

  4. 几何就是假的,而爱因斯坦的相对论正是以几何为数学基础的理论。

综上所述,艺术上的穿越基于了科学上的多重连环假设,其中没有一环得到过实证。任何没有实证的假设都不是真的、都不靠谱。

其次,除了通过一系列假设而凭空捏造的虫洞,《星际穿越》的另一个科学假设就是黑洞。由于黑洞引力特大,接近黑洞的生命就相对活得特长,与之相应的时间也相对变得特慢,因此远航到黑洞附近的宇航员相对地球而言大大“延长”了生命,他们在黑洞附近活过的几十个小时相当于在地球上的几十年。显然,该剧的科学顾问、理论物理学家Kip Thorne(故意)忘记了计算由于引力增加而引起的宇航员的体重增加,换言之,按剧情接近黑洞,Cooper等的体重起码要增加相当于他在地球体重的好几万倍,那么,剧中的Cooper等如何能轻松地生活和作业而没被自身的体重压死?

最后,当然就是Brand教授几十年解决不了,由Cooper的天才女儿Murph解出的那个万能方程公式,完美诠释了万有引力的奥妙,继而成功地把拣选而数量有限的幸存者带离了末日降临的地球。什么叫万能公式或称万物理论?就是完美结合宏观相对论和微观量子力学以后推演出的全能全智的数学公式,再加用于拯救世界的全善。哲学上,相对论是决定论而量子力学是随机论,祈求两个本质上矛盾的理论实现统一并属实,理论上和实际上的难度相当于论证上帝的存在,科学与神学的完美结合。

好莱坞的科幻实为宗教,现代科学的发展不但无碍宗教,反而为宗教神学提供了更多的假设、更广的假想,因为科学的前身就是古希腊的形而上学,而形而上学与神学共享了同一个超自然的思维。就穿越科幻片而言,我认为2016年的《降临》更有创新性(参见我的回答)。做科学的确需要创新的想象和假设,做神学也一样。如何区别神学和科学、其中再夹个形而上学,正确引导青少年热爱科学、识别神学?这是项技术挑战性很强的教育任务。

北大教授说:我拒绝回答,那是我的权利!

确切的问法应该是该剧有哪些不靠谱的科学假设?与宗教相似,艺术求创新不求论证或实证,没有错误可言,大凡能卖座的艺术和宗教肯定错不了。

该剧力求科学严谨,还请了个理论天体物理学家做技术顾问。天体物理学算得上是一门最有代表性的科学,科学做学问的基本思路就是理论假设,接着对理论进行论证或实证,实际上就是古希腊人发明的形而上学逻辑论证。扫读了下已发表的回答,不妨补充下《星际穿越》的三个最基本的艺术夸张和科学误导,虫洞、黑洞和万能公式。

首先,虫洞是个理论假设,基于爱因斯坦的相对论。相对论推断时空可以弯曲,虫洞就是基于时空弯曲这个推断的进一步假设。理论上在表达相对论时为了视觉方便,“三维”之体的时空往往画成“二维”的面,如图,

剧中科学家Romilly用一张纸和一支笔对虫洞的生成做了个精彩的演示。那张纸代表爱因斯坦的“二维”时空,他先用笔在纸面画上间距分开的两个点,分别代表了前后两个任意的时空,比如,今日十二点正的地球相对一万年前半夜十二点的遥远的某星系某星球。既然面可以假设弯曲,那么面也可以假设折叠。于是,Romilly将纸弯曲并对折,使原来前后分开的两个时空点相互接近甚至接触。他再用笔刺穿了纸上两个点的重叠处,于是虫洞就如此这般奇迹诞生了。换言之,宇航员就像那支笔一样可以穿越时空,或前穿或后穿,如图

你相信上述的科学吗?事实上,穿越时空的假设是建立在一系列假设的逻辑推理假想而已,不是真的:

  1. 假设的时空不可折叠。爱因斯坦假设的时空不是“二维”之面而是“三维”之体,你如何折叠一个“三维”体??

  2. 时空本身就是个假设。爱因斯坦在数学操作中假设时间为另一个空间维度而由此发明了时空的概念。现实中时间只是空间变化的历史,并不是实际的存在,换言之,时间是虚假的意念存在而不是真实的空间存在。

  3. 几何的空间维度本身也是个数学假设,事实上我们一直就生活在一个多维的空间。维度也就是空间的走向,所谓的几何维度实为一个凭空捏造的理念,基于笛卡尔为计算空间点位置的方便而发明的坐标系。维度的定义来自欧几里德几何,零维被定义为占零空间的点、一维占零宽度的线、二维占零厚度的面。现实中有谁真见过不占空间的点、无宽的线和无厚的面??可见,

  4. 几何就是假的,而爱因斯坦的相对论正是以几何为数学基础的理论。

综上所述,艺术上的穿越基于了科学上的多重连环假设,其中没有一环得到过实证。任何没有实证的假设都不是真的、都不靠谱。

其次,除了通过一系列假设而凭空捏造的虫洞,《星际穿越》的另一个科学假设就是黑洞。由于黑洞引力特大,接近黑洞的生命就相对活得特长,与之相应的时间也相对变得特慢,因此远航到黑洞附近的宇航员相对地球而言大大“延长”了生命,他们在黑洞附近活过的几十个小时相当于在地球上的几十年。显然,该剧的科学顾问、理论物理学家Kip Thorne(故意)忘记了计算由于引力增加而引起的宇航员的体重增加,换言之,按剧情接近黑洞,Cooper等的体重起码要增加相当于他在地球体重的好几万倍,那么,剧中的Cooper等如何能轻松地生活和作业而没被自身的体重压死?

最后,当然就是Brand教授几十年解决不了,由Cooper的天才女儿Murph解出的那个万能方程公式,完美诠释了万有引力的奥妙,继而成功地把拣选而数量有限的幸存者带离了末日降临的地球。什么叫万能公式或称万物理论?就是完美结合宏观相对论和微观量子力学以后推演出的全能全智的数学公式,再加用于拯救世界的全善。哲学上,相对论是决定论而量子力学是随机论,祈求两个本质上矛盾的理论实现统一并属实,理论上和实际上的难度相当于论证上帝的存在,科学与神学的完美结合。

好莱坞的科幻实为宗教,现代科学的发展不但无碍宗教,反而为宗教神学提供了更多的假设、更广的假想,因为科学的前身就是古希腊的形而上学,而形而上学与神学共享了同一个超自然的思维。就穿越科幻片而言,我认为2016年的《降临》更有创新性(参见我的回答)。做科学的确需要创新的想象和假设,做神学也一样。如何区别神学和科学、其中再夹个形而上学,正确引导青少年热爱科学、识别神学?这是项技术挑战性很强的教育任务。

简单的说,《星际穿越》主要讲的就是,人类面对日益恶化的环境,于是准备寻找其他适宜居住的星球,通过木星旁的一个虫洞,人类穿越到距离地球很远的一个星系,在对于一个又一个的星球确认不适合居住后,被未来的人类传输了“公式”,解开了困扰人类的难题,于是人类成功的度过了这次难关。

如果说剧情的话,主要在叛变、在超立方体内传送知识这两处剧情性比较强,在别的电影情节上,主要是通过人们对于宇宙的极限思维,打造了非常棒的视觉效果。

例如因为巨大的潮汐力而产生的上百米的高浪,在超立方体内类似于“无限”的场景,都让人无比的震撼。

并且在剧情的最后,年轻依旧的库珀,来到自己已经白发苍苍的女儿面前,电影为我们打造了因为相对论关系而造成的时间偏差的场景,让我们对于科学的认知,无不感到惊奇。


我是希言,欢迎关注我了解更多科幻电影资讯,谢谢。

确切的问法应该是该剧有哪些不靠谱的科学假设?与宗教相似,艺术求创新不求论证或实证,没有错误可言,大凡能卖座的艺术和宗教肯定错不了。

该剧力求科学严谨,还请了个理论天体物理学家做技术顾问。天体物理学算得上是一门最有代表性的科学,科学做学问的基本思路就是理论假设,接着对理论进行论证或实证,实际上就是古希腊人发明的形而上学逻辑论证。扫读了下已发表的回答,不妨补充下《星际穿越》的三个最基本的艺术夸张和科学误导,虫洞、黑洞和万能公式。

首先,虫洞是个理论假设,基于爱因斯坦的相对论。相对论推断时空可以弯曲,虫洞就是基于时空弯曲这个推断的进一步假设。理论上在表达相对论时为了视觉方便,“三维”之体的时空往往画成“二维”的面,如图,

剧中科学家Romilly用一张纸和一支笔对虫洞的生成做了个精彩的演示。那张纸代表爱因斯坦的“二维”时空,他先用笔在纸面画上间距分开的两个点,分别代表了前后两个任意的时空,比如,今日十二点正的地球相对一万年前半夜十二点的遥远的某星系某星球。既然面可以假设弯曲,那么面也可以假设折叠。于是,Romilly将纸弯曲并对折,使原来前后分开的两个时空点相互接近甚至接触。他再用笔刺穿了纸上两个点的重叠处,于是虫洞就如此这般奇迹诞生了。换言之,宇航员就像那支笔一样可以穿越时空,或前穿或后穿,如图

你相信上述的科学吗?事实上,穿越时空的假设是建立在一系列假设的逻辑推理假想而已,不是真的:

  1. 假设的时空不可折叠。爱因斯坦假设的时空不是“二维”之面而是“三维”之体,你如何折叠一个“三维”体??

  2. 时空本身就是个假设。爱因斯坦在数学操作中假设时间为另一个空间维度而由此发明了时空的概念。现实中时间只是空间变化的历史,并不是实际的存在,换言之,时间是虚假的意念存在而不是真实的空间存在。

  3. 几何的空间维度本身也是个数学假设,事实上我们一直就生活在一个多维的空间。维度也就是空间的走向,所谓的几何维度实为一个凭空捏造的理念,基于笛卡尔为计算空间点位置的方便而发明的坐标系。维度的定义来自欧几里德几何,零维被定义为占零空间的点、一维占零宽度的线、二维占零厚度的面。现实中有谁真见过不占空间的点、无宽的线和无厚的面??可见,

  4. 几何就是假的,而爱因斯坦的相对论正是以几何为数学基础的理论。

综上所述,艺术上的穿越基于了科学上的多重连环假设,其中没有一环得到过实证。任何没有实证的假设都不是真的、都不靠谱。

其次,除了通过一系列假设而凭空捏造的虫洞,《星际穿越》的另一个科学假设就是黑洞。由于黑洞引力特大,接近黑洞的生命就相对活得特长,与之相应的时间也相对变得特慢,因此远航到黑洞附近的宇航员相对地球而言大大“延长”了生命,他们在黑洞附近活过的几十个小时相当于在地球上的几十年。显然,该剧的科学顾问、理论物理学家Kip Thorne(故意)忘记了计算由于引力增加而引起的宇航员的体重增加,换言之,按剧情接近黑洞,Cooper等的体重起码要增加相当于他在地球体重的好几万倍,那么,剧中的Cooper等如何能轻松地生活和作业而没被自身的体重压死?

最后,当然就是Brand教授几十年解决不了,由Cooper的天才女儿Murph解出的那个万能方程公式,完美诠释了万有引力的奥妙,继而成功地把拣选而数量有限的幸存者带离了末日降临的地球。什么叫万能公式或称万物理论?就是完美结合宏观相对论和微观量子力学以后推演出的全能全智的数学公式,再加用于拯救世界的全善。哲学上,相对论是决定论而量子力学是随机论,祈求两个本质上矛盾的理论实现统一并属实,理论上和实际上的难度相当于论证上帝的存在,科学与神学的完美结合。

好莱坞的科幻实为宗教,现代科学的发展不但无碍宗教,反而为宗教神学提供了更多的假设、更广的假想,因为科学的前身就是古希腊的形而上学,而形而上学与神学共享了同一个超自然的思维。就穿越科幻片而言,我认为2016年的《降临》更有创新性(参见我的回答)。做科学的确需要创新的想象和假设,做神学也一样。如何区别神学和科学、其中再夹个形而上学,正确引导青少年热爱科学、识别神学?这是项技术挑战性很强的教育任务。

简单的说,《星际穿越》主要讲的就是,人类面对日益恶化的环境,于是准备寻找其他适宜居住的星球,通过木星旁的一个虫洞,人类穿越到距离地球很远的一个星系,在对于一个又一个的星球确认不适合居住后,被未来的人类传输了“公式”,解开了困扰人类的难题,于是人类成功的度过了这次难关。

如果说剧情的话,主要在叛变、在超立方体内传送知识这两处剧情性比较强,在别的电影情节上,主要是通过人们对于宇宙的极限思维,打造了非常棒的视觉效果。

例如因为巨大的潮汐力而产生的上百米的高浪,在超立方体内类似于“无限”的场景,都让人无比的震撼。

并且在剧情的最后,年轻依旧的库珀,来到自己已经白发苍苍的女儿面前,电影为我们打造了因为相对论关系而造成的时间偏差的场景,让我们对于科学的认知,无不感到惊奇。


我是希言,欢迎关注我了解更多科幻电影资讯,谢谢。

确切的问法应该是该剧有哪些不靠谱的科学假设?与宗教相似,艺术求创新不求论证或实证,没有错误可言,大凡能卖座的艺术和宗教肯定错不了。

该剧力求科学严谨,还请了个理论天体物理学家做技术顾问。天体物理学算得上是一门最有代表性的科学,科学做学问的基本思路就是理论假设,接着对理论进行论证或实证,实际上就是古希腊人发明的形而上学逻辑论证。扫读了下已发表的回答,不妨补充下《星际穿越》的三个最基本的艺术夸张和科学误导,虫洞、黑洞和万能公式。

首先,虫洞是个理论假设,基于爱因斯坦的相对论。相对论推断时空可以弯曲,虫洞就是基于时空弯曲这个推断的进一步假设。理论上在表达相对论时为了视觉方便,“三维”之体的时空往往画成“二维”的面,如图,

剧中科学家Romilly用一张纸和一支笔对虫洞的生成做了个精彩的演示。那张纸代表爱因斯坦的“二维”时空,他先用笔在纸面画上间距分开的两个点,分别代表了前后两个任意的时空,比如,今日十二点正的地球相对一万年前半夜十二点的遥远的某星系某星球。既然面可以假设弯曲,那么面也可以假设折叠。于是,Romilly将纸弯曲并对折,使原来前后分开的两个时空点相互接近甚至接触。他再用笔刺穿了纸上两个点的重叠处,于是虫洞就如此这般奇迹诞生了。换言之,宇航员就像那支笔一样可以穿越时空,或前穿或后穿,如图

你相信上述的科学吗?事实上,穿越时空的假设是建立在一系列假设的逻辑推理假想而已,不是真的:

  1. 假设的时空不可折叠。爱因斯坦假设的时空不是“二维”之面而是“三维”之体,你如何折叠一个“三维”体??

  2. 时空本身就是个假设。爱因斯坦在数学操作中假设时间为另一个空间维度而由此发明了时空的概念。现实中时间只是空间变化的历史,并不是实际的存在,换言之,时间是虚假的意念存在而不是真实的空间存在。

  3. 几何的空间维度本身也是个数学假设,事实上我们一直就生活在一个多维的空间。维度也就是空间的走向,所谓的几何维度实为一个凭空捏造的理念,基于笛卡尔为计算空间点位置的方便而发明的坐标系。维度的定义来自欧几里德几何,零维被定义为占零空间的点、一维占零宽度的线、二维占零厚度的面。现实中有谁真见过不占空间的点、无宽的线和无厚的面??可见,

  4. 几何就是假的,而爱因斯坦的相对论正是以几何为数学基础的理论。

综上所述,艺术上的穿越基于了科学上的多重连环假设,其中没有一环得到过实证。任何没有实证的假设都不是真的、都不靠谱。

其次,除了通过一系列假设而凭空捏造的虫洞,《星际穿越》的另一个科学假设就是黑洞。由于黑洞引力特大,接近黑洞的生命就相对活得特长,与之相应的时间也相对变得特慢,因此远航到黑洞附近的宇航员相对地球而言大大“延长”了生命,他们在黑洞附近活过的几十个小时相当于在地球上的几十年。显然,该剧的科学顾问、理论物理学家Kip Thorne(故意)忘记了计算由于引力增加而引起的宇航员的体重增加,换言之,按剧情接近黑洞,Cooper等的体重起码要增加相当于他在地球体重的好几万倍,那么,剧中的Cooper等如何能轻松地生活和作业而没被自身的体重压死?

最后,当然就是Brand教授几十年解决不了,由Cooper的天才女儿Murph解出的那个万能方程公式,完美诠释了万有引力的奥妙,继而成功地把拣选而数量有限的幸存者带离了末日降临的地球。什么叫万能公式或称万物理论?就是完美结合宏观相对论和微观量子力学以后推演出的全能全智的数学公式,再加用于拯救世界的全善。哲学上,相对论是决定论而量子力学是随机论,祈求两个本质上矛盾的理论实现统一并属实,理论上和实际上的难度相当于论证上帝的存在,科学与神学的完美结合。

好莱坞的科幻实为宗教,现代科学的发展不但无碍宗教,反而为宗教神学提供了更多的假设、更广的假想,因为科学的前身就是古希腊的形而上学,而形而上学与神学共享了同一个超自然的思维。就穿越科幻片而言,我认为2016年的《降临》更有创新性(参见我的回答)。做科学的确需要创新的想象和假设,做神学也一样。如何区别神学和科学、其中再夹个形而上学,正确引导青少年热爱科学、识别神学?这是项技术挑战性很强的教育任务。

没有,星际穿越是最伟大的科幻电影,没有之一

确切的问法应该是该剧有哪些不靠谱的科学假设?与宗教相似,艺术求创新不求论证或实证,没有错误可言,大凡能卖座的艺术和宗教肯定错不了。

该剧力求科学严谨,还请了个理论天体物理学家做技术顾问。天体物理学算得上是一门最有代表性的科学,科学做学问的基本思路就是理论假设,接着对理论进行论证或实证,实际上就是古希腊人发明的形而上学逻辑论证。扫读了下已发表的回答,不妨补充下《星际穿越》的三个最基本的艺术夸张和科学误导,虫洞、黑洞和万能公式。

首先,虫洞是个理论假设,基于爱因斯坦的相对论。相对论推断时空可以弯曲,虫洞就是基于时空弯曲这个推断的进一步假设。理论上在表达相对论时为了视觉方便,“三维”之体的时空往往画成“二维”的面,如图,

剧中科学家Romilly用一张纸和一支笔对虫洞的生成做了个精彩的演示。那张纸代表爱因斯坦的“二维”时空,他先用笔在纸面画上间距分开的两个点,分别代表了前后两个任意的时空,比如,今日十二点正的地球相对一万年前半夜十二点的遥远的某星系某星球。既然面可以假设弯曲,那么面也可以假设折叠。于是,Romilly将纸弯曲并对折,使原来前后分开的两个时空点相互接近甚至接触。他再用笔刺穿了纸上两个点的重叠处,于是虫洞就如此这般奇迹诞生了。换言之,宇航员就像那支笔一样可以穿越时空,或前穿或后穿,如图

你相信上述的科学吗?事实上,穿越时空的假设是建立在一系列假设的逻辑推理假想而已,不是真的:

  1. 假设的时空不可折叠。爱因斯坦假设的时空不是“二维”之面而是“三维”之体,你如何折叠一个“三维”体??

  2. 时空本身就是个假设。爱因斯坦在数学操作中假设时间为另一个空间维度而由此发明了时空的概念。现实中时间只是空间变化的历史,并不是实际的存在,换言之,时间是虚假的意念存在而不是真实的空间存在。

  3. 几何的空间维度本身也是个数学假设,事实上我们一直就生活在一个多维的空间。维度也就是空间的走向,所谓的几何维度实为一个凭空捏造的理念,基于笛卡尔为计算空间点位置的方便而发明的坐标系。维度的定义来自欧几里德几何,零维被定义为占零空间的点、一维占零宽度的线、二维占零厚度的面。现实中有谁真见过不占空间的点、无宽的线和无厚的面??可见,

  4. 几何就是假的,而爱因斯坦的相对论正是以几何为数学基础的理论。

综上所述,艺术上的穿越基于了科学上的多重连环假设,其中没有一环得到过实证。任何没有实证的假设都不是真的、都不靠谱。

其次,除了通过一系列假设而凭空捏造的虫洞,《星际穿越》的另一个科学假设就是黑洞。由于黑洞引力特大,接近黑洞的生命就相对活得特长,与之相应的时间也相对变得特慢,因此远航到黑洞附近的宇航员相对地球而言大大“延长”了生命,他们在黑洞附近活过的几十个小时相当于在地球上的几十年。显然,该剧的科学顾问、理论物理学家Kip Thorne(故意)忘记了计算由于引力增加而引起的宇航员的体重增加,换言之,按剧情接近黑洞,Cooper等的体重起码要增加相当于他在地球体重的好几万倍,那么,剧中的Cooper等如何能轻松地生活和作业而没被自身的体重压死?

最后,当然就是Brand教授几十年解决不了,由Cooper的天才女儿Murph解出的那个万能方程公式,完美诠释了万有引力的奥妙,继而成功地把拣选而数量有限的幸存者带离了末日降临的地球。什么叫万能公式或称万物理论?就是完美结合宏观相对论和微观量子力学以后推演出的全能全智的数学公式,再加用于拯救世界的全善。哲学上,相对论是决定论而量子力学是随机论,祈求两个本质上矛盾的理论实现统一并属实,理论上和实际上的难度相当于论证上帝的存在,科学与神学的完美结合。

好莱坞的科幻实为宗教,现代科学的发展不但无碍宗教,反而为宗教神学提供了更多的假设、更广的假想,因为科学的前身就是古希腊的形而上学,而形而上学与神学共享了同一个超自然的思维。就穿越科幻片而言,我认为2016年的《降临》更有创新性(参见我的回答)。做科学的确需要创新的想象和假设,做神学也一样。如何区别神学和科学、其中再夹个形而上学,正确引导青少年热爱科学、识别神学?这是项技术挑战性很强的教育任务。

北大教授说:我拒绝回答,那是我的权利!

确切的问法应该是该剧有哪些不靠谱的科学假设?与宗教相似,艺术求创新不求论证或实证,没有错误可言,大凡能卖座的艺术和宗教肯定错不了。

该剧力求科学严谨,还请了个理论天体物理学家做技术顾问。天体物理学算得上是一门最有代表性的科学,科学做学问的基本思路就是理论假设,接着对理论进行论证或实证,实际上就是古希腊人发明的形而上学逻辑论证。扫读了下已发表的回答,不妨补充下《星际穿越》的三个最基本的艺术夸张和科学误导,虫洞、黑洞和万能公式。

首先,虫洞是个理论假设,基于爱因斯坦的相对论。相对论推断时空可以弯曲,虫洞就是基于时空弯曲这个推断的进一步假设。理论上在表达相对论时为了视觉方便,“三维”之体的时空往往画成“二维”的面,如图,

剧中科学家Romilly用一张纸和一支笔对虫洞的生成做了个精彩的演示。那张纸代表爱因斯坦的“二维”时空,他先用笔在纸面画上间距分开的两个点,分别代表了前后两个任意的时空,比如,今日十二点正的地球相对一万年前半夜十二点的遥远的某星系某星球。既然面可以假设弯曲,那么面也可以假设折叠。于是,Romilly将纸弯曲并对折,使原来前后分开的两个时空点相互接近甚至接触。他再用笔刺穿了纸上两个点的重叠处,于是虫洞就如此这般奇迹诞生了。换言之,宇航员就像那支笔一样可以穿越时空,或前穿或后穿,如图

你相信上述的科学吗?事实上,穿越时空的假设是建立在一系列假设的逻辑推理假想而已,不是真的:

  1. 假设的时空不可折叠。爱因斯坦假设的时空不是“二维”之面而是“三维”之体,你如何折叠一个“三维”体??

  2. 时空本身就是个假设。爱因斯坦在数学操作中假设时间为另一个空间维度而由此发明了时空的概念。现实中时间只是空间变化的历史,并不是实际的存在,换言之,时间是虚假的意念存在而不是真实的空间存在。

  3. 几何的空间维度本身也是个数学假设,事实上我们一直就生活在一个多维的空间。维度也就是空间的走向,所谓的几何维度实为一个凭空捏造的理念,基于笛卡尔为计算空间点位置的方便而发明的坐标系。维度的定义来自欧几里德几何,零维被定义为占零空间的点、一维占零宽度的线、二维占零厚度的面。现实中有谁真见过不占空间的点、无宽的线和无厚的面??可见,

  4. 几何就是假的,而爱因斯坦的相对论正是以几何为数学基础的理论。

综上所述,艺术上的穿越基于了科学上的多重连环假设,其中没有一环得到过实证。任何没有实证的假设都不是真的、都不靠谱。

其次,除了通过一系列假设而凭空捏造的虫洞,《星际穿越》的另一个科学假设就是黑洞。由于黑洞引力特大,接近黑洞的生命就相对活得特长,与之相应的时间也相对变得特慢,因此远航到黑洞附近的宇航员相对地球而言大大“延长”了生命,他们在黑洞附近活过的几十个小时相当于在地球上的几十年。显然,该剧的科学顾问、理论物理学家Kip Thorne(故意)忘记了计算由于引力增加而引起的宇航员的体重增加,换言之,按剧情接近黑洞,Cooper等的体重起码要增加相当于他在地球体重的好几万倍,那么,剧中的Cooper等如何能轻松地生活和作业而没被自身的体重压死?

最后,当然就是Brand教授几十年解决不了,由Cooper的天才女儿Murph解出的那个万能方程公式,完美诠释了万有引力的奥妙,继而成功地把拣选而数量有限的幸存者带离了末日降临的地球。什么叫万能公式或称万物理论?就是完美结合宏观相对论和微观量子力学以后推演出的全能全智的数学公式,再加用于拯救世界的全善。哲学上,相对论是决定论而量子力学是随机论,祈求两个本质上矛盾的理论实现统一并属实,理论上和实际上的难度相当于论证上帝的存在,科学与神学的完美结合。

好莱坞的科幻实为宗教,现代科学的发展不但无碍宗教,反而为宗教神学提供了更多的假设、更广的假想,因为科学的前身就是古希腊的形而上学,而形而上学与神学共享了同一个超自然的思维。就穿越科幻片而言,我认为2016年的《降临》更有创新性(参见我的回答)。做科学的确需要创新的想象和假设,做神学也一样。如何区别神学和科学、其中再夹个形而上学,正确引导青少年热爱科学、识别神学?这是项技术挑战性很强的教育任务。

简单的说,《星际穿越》主要讲的就是,人类面对日益恶化的环境,于是准备寻找其他适宜居住的星球,通过木星旁的一个虫洞,人类穿越到距离地球很远的一个星系,在对于一个又一个的星球确认不适合居住后,被未来的人类传输了“公式”,解开了困扰人类的难题,于是人类成功的度过了这次难关。

如果说剧情的话,主要在叛变、在超立方体内传送知识这两处剧情性比较强,在别的电影情节上,主要是通过人们对于宇宙的极限思维,打造了非常棒的视觉效果。

例如因为巨大的潮汐力而产生的上百米的高浪,在超立方体内类似于“无限”的场景,都让人无比的震撼。

并且在剧情的最后,年轻依旧的库珀,来到自己已经白发苍苍的女儿面前,电影为我们打造了因为相对论关系而造成的时间偏差的场景,让我们对于科学的认知,无不感到惊奇。


我是希言,欢迎关注我了解更多科幻电影资讯,谢谢。

确切的问法应该是该剧有哪些不靠谱的科学假设?与宗教相似,艺术求创新不求论证或实证,没有错误可言,大凡能卖座的艺术和宗教肯定错不了。

该剧力求科学严谨,还请了个理论天体物理学家做技术顾问。天体物理学算得上是一门最有代表性的科学,科学做学问的基本思路就是理论假设,接着对理论进行论证或实证,实际上就是古希腊人发明的形而上学逻辑论证。扫读了下已发表的回答,不妨补充下《星际穿越》的三个最基本的艺术夸张和科学误导,虫洞、黑洞和万能公式。

首先,虫洞是个理论假设,基于爱因斯坦的相对论。相对论推断时空可以弯曲,虫洞就是基于时空弯曲这个推断的进一步假设。理论上在表达相对论时为了视觉方便,“三维”之体的时空往往画成“二维”的面,如图,

剧中科学家Romilly用一张纸和一支笔对虫洞的生成做了个精彩的演示。那张纸代表爱因斯坦的“二维”时空,他先用笔在纸面画上间距分开的两个点,分别代表了前后两个任意的时空,比如,今日十二点正的地球相对一万年前半夜十二点的遥远的某星系某星球。既然面可以假设弯曲,那么面也可以假设折叠。于是,Romilly将纸弯曲并对折,使原来前后分开的两个时空点相互接近甚至接触。他再用笔刺穿了纸上两个点的重叠处,于是虫洞就如此这般奇迹诞生了。换言之,宇航员就像那支笔一样可以穿越时空,或前穿或后穿,如图

你相信上述的科学吗?事实上,穿越时空的假设是建立在一系列假设的逻辑推理假想而已,不是真的:

  1. 假设的时空不可折叠。爱因斯坦假设的时空不是“二维”之面而是“三维”之体,你如何折叠一个“三维”体??

  2. 时空本身就是个假设。爱因斯坦在数学操作中假设时间为另一个空间维度而由此发明了时空的概念。现实中时间只是空间变化的历史,并不是实际的存在,换言之,时间是虚假的意念存在而不是真实的空间存在。

  3. 几何的空间维度本身也是个数学假设,事实上我们一直就生活在一个多维的空间。维度也就是空间的走向,所谓的几何维度实为一个凭空捏造的理念,基于笛卡尔为计算空间点位置的方便而发明的坐标系。维度的定义来自欧几里德几何,零维被定义为占零空间的点、一维占零宽度的线、二维占零厚度的面。现实中有谁真见过不占空间的点、无宽的线和无厚的面??可见,

  4. 几何就是假的,而爱因斯坦的相对论正是以几何为数学基础的理论。

综上所述,艺术上的穿越基于了科学上的多重连环假设,其中没有一环得到过实证。任何没有实证的假设都不是真的、都不靠谱。

其次,除了通过一系列假设而凭空捏造的虫洞,《星际穿越》的另一个科学假设就是黑洞。由于黑洞引力特大,接近黑洞的生命就相对活得特长,与之相应的时间也相对变得特慢,因此远航到黑洞附近的宇航员相对地球而言大大“延长”了生命,他们在黑洞附近活过的几十个小时相当于在地球上的几十年。显然,该剧的科学顾问、理论物理学家Kip Thorne(故意)忘记了计算由于引力增加而引起的宇航员的体重增加,换言之,按剧情接近黑洞,Cooper等的体重起码要增加相当于他在地球体重的好几万倍,那么,剧中的Cooper等如何能轻松地生活和作业而没被自身的体重压死?

最后,当然就是Brand教授几十年解决不了,由Cooper的天才女儿Murph解出的那个万能方程公式,完美诠释了万有引力的奥妙,继而成功地把拣选而数量有限的幸存者带离了末日降临的地球。什么叫万能公式或称万物理论?就是完美结合宏观相对论和微观量子力学以后推演出的全能全智的数学公式,再加用于拯救世界的全善。哲学上,相对论是决定论而量子力学是随机论,祈求两个本质上矛盾的理论实现统一并属实,理论上和实际上的难度相当于论证上帝的存在,科学与神学的完美结合。

好莱坞的科幻实为宗教,现代科学的发展不但无碍宗教,反而为宗教神学提供了更多的假设、更广的假想,因为科学的前身就是古希腊的形而上学,而形而上学与神学共享了同一个超自然的思维。就穿越科幻片而言,我认为2016年的《降临》更有创新性(参见我的回答)。做科学的确需要创新的想象和假设,做神学也一样。如何区别神学和科学、其中再夹个形而上学,正确引导青少年热爱科学、识别神学?这是项技术挑战性很强的教育任务。

简单的说,《星际穿越》主要讲的就是,人类面对日益恶化的环境,于是准备寻找其他适宜居住的星球,通过木星旁的一个虫洞,人类穿越到距离地球很远的一个星系,在对于一个又一个的星球确认不适合居住后,被未来的人类传输了“公式”,解开了困扰人类的难题,于是人类成功的度过了这次难关。

如果说剧情的话,主要在叛变、在超立方体内传送知识这两处剧情性比较强,在别的电影情节上,主要是通过人们对于宇宙的极限思维,打造了非常棒的视觉效果。

例如因为巨大的潮汐力而产生的上百米的高浪,在超立方体内类似于“无限”的场景,都让人无比的震撼。

并且在剧情的最后,年轻依旧的库珀,来到自己已经白发苍苍的女儿面前,电影为我们打造了因为相对论关系而造成的时间偏差的场景,让我们对于科学的认知,无不感到惊奇。


我是希言,欢迎关注我了解更多科幻电影资讯,谢谢。

确切的问法应该是该剧有哪些不靠谱的科学假设?与宗教相似,艺术求创新不求论证或实证,没有错误可言,大凡能卖座的艺术和宗教肯定错不了。

该剧力求科学严谨,还请了个理论天体物理学家做技术顾问。天体物理学算得上是一门最有代表性的科学,科学做学问的基本思路就是理论假设,接着对理论进行论证或实证,实际上就是古希腊人发明的形而上学逻辑论证。扫读了下已发表的回答,不妨补充下《星际穿越》的三个最基本的艺术夸张和科学误导,虫洞、黑洞和万能公式。

首先,虫洞是个理论假设,基于爱因斯坦的相对论。相对论推断时空可以弯曲,虫洞就是基于时空弯曲这个推断的进一步假设。理论上在表达相对论时为了视觉方便,“三维”之体的时空往往画成“二维”的面,如图,

剧中科学家Romilly用一张纸和一支笔对虫洞的生成做了个精彩的演示。那张纸代表爱因斯坦的“二维”时空,他先用笔在纸面画上间距分开的两个点,分别代表了前后两个任意的时空,比如,今日十二点正的地球相对一万年前半夜十二点的遥远的某星系某星球。既然面可以假设弯曲,那么面也可以假设折叠。于是,Romilly将纸弯曲并对折,使原来前后分开的两个时空点相互接近甚至接触。他再用笔刺穿了纸上两个点的重叠处,于是虫洞就如此这般奇迹诞生了。换言之,宇航员就像那支笔一样可以穿越时空,或前穿或后穿,如图

你相信上述的科学吗?事实上,穿越时空的假设是建立在一系列假设的逻辑推理假想而已,不是真的:

  1. 假设的时空不可折叠。爱因斯坦假设的时空不是“二维”之面而是“三维”之体,你如何折叠一个“三维”体??

  2. 时空本身就是个假设。爱因斯坦在数学操作中假设时间为另一个空间维度而由此发明了时空的概念。现实中时间只是空间变化的历史,并不是实际的存在,换言之,时间是虚假的意念存在而不是真实的空间存在。

  3. 几何的空间维度本身也是个数学假设,事实上我们一直就生活在一个多维的空间。维度也就是空间的走向,所谓的几何维度实为一个凭空捏造的理念,基于笛卡尔为计算空间点位置的方便而发明的坐标系。维度的定义来自欧几里德几何,零维被定义为占零空间的点、一维占零宽度的线、二维占零厚度的面。现实中有谁真见过不占空间的点、无宽的线和无厚的面??可见,

  4. 几何就是假的,而爱因斯坦的相对论正是以几何为数学基础的理论。

综上所述,艺术上的穿越基于了科学上的多重连环假设,其中没有一环得到过实证。任何没有实证的假设都不是真的、都不靠谱。

其次,除了通过一系列假设而凭空捏造的虫洞,《星际穿越》的另一个科学假设就是黑洞。由于黑洞引力特大,接近黑洞的生命就相对活得特长,与之相应的时间也相对变得特慢,因此远航到黑洞附近的宇航员相对地球而言大大“延长”了生命,他们在黑洞附近活过的几十个小时相当于在地球上的几十年。显然,该剧的科学顾问、理论物理学家Kip Thorne(故意)忘记了计算由于引力增加而引起的宇航员的体重增加,换言之,按剧情接近黑洞,Cooper等的体重起码要增加相当于他在地球体重的好几万倍,那么,剧中的Cooper等如何能轻松地生活和作业而没被自身的体重压死?

最后,当然就是Brand教授几十年解决不了,由Cooper的天才女儿Murph解出的那个万能方程公式,完美诠释了万有引力的奥妙,继而成功地把拣选而数量有限的幸存者带离了末日降临的地球。什么叫万能公式或称万物理论?就是完美结合宏观相对论和微观量子力学以后推演出的全能全智的数学公式,再加用于拯救世界的全善。哲学上,相对论是决定论而量子力学是随机论,祈求两个本质上矛盾的理论实现统一并属实,理论上和实际上的难度相当于论证上帝的存在,科学与神学的完美结合。

好莱坞的科幻实为宗教,现代科学的发展不但无碍宗教,反而为宗教神学提供了更多的假设、更广的假想,因为科学的前身就是古希腊的形而上学,而形而上学与神学共享了同一个超自然的思维。就穿越科幻片而言,我认为2016年的《降临》更有创新性(参见我的回答)。做科学的确需要创新的想象和假设,做神学也一样。如何区别神学和科学、其中再夹个形而上学,正确引导青少年热爱科学、识别神学?这是项技术挑战性很强的教育任务。

没有,星际穿越是最伟大的科幻电影,没有之一

确切的问法应该是该剧有哪些不靠谱的科学假设?与宗教相似,艺术求创新不求论证或实证,没有错误可言,大凡能卖座的艺术和宗教肯定错不了。

该剧力求科学严谨,还请了个理论天体物理学家做技术顾问。天体物理学算得上是一门最有代表性的科学,科学做学问的基本思路就是理论假设,接着对理论进行论证或实证,实际上就是古希腊人发明的形而上学逻辑论证。扫读了下已发表的回答,不妨补充下《星际穿越》的三个最基本的艺术夸张和科学误导,虫洞、黑洞和万能公式。

首先,虫洞是个理论假设,基于爱因斯坦的相对论。相对论推断时空可以弯曲,虫洞就是基于时空弯曲这个推断的进一步假设。理论上在表达相对论时为了视觉方便,“三维”之体的时空往往画成“二维”的面,如图,

剧中科学家Romilly用一张纸和一支笔对虫洞的生成做了个精彩的演示。那张纸代表爱因斯坦的“二维”时空,他先用笔在纸面画上间距分开的两个点,分别代表了前后两个任意的时空,比如,今日十二点正的地球相对一万年前半夜十二点的遥远的某星系某星球。既然面可以假设弯曲,那么面也可以假设折叠。于是,Romilly将纸弯曲并对折,使原来前后分开的两个时空点相互接近甚至接触。他再用笔刺穿了纸上两个点的重叠处,于是虫洞就如此这般奇迹诞生了。换言之,宇航员就像那支笔一样可以穿越时空,或前穿或后穿,如图

你相信上述的科学吗?事实上,穿越时空的假设是建立在一系列假设的逻辑推理假想而已,不是真的:

  1. 假设的时空不可折叠。爱因斯坦假设的时空不是“二维”之面而是“三维”之体,你如何折叠一个“三维”体??

  2. 时空本身就是个假设。爱因斯坦在数学操作中假设时间为另一个空间维度而由此发明了时空的概念。现实中时间只是空间变化的历史,并不是实际的存在,换言之,时间是虚假的意念存在而不是真实的空间存在。

  3. 几何的空间维度本身也是个数学假设,事实上我们一直就生活在一个多维的空间。维度也就是空间的走向,所谓的几何维度实为一个凭空捏造的理念,基于笛卡尔为计算空间点位置的方便而发明的坐标系。维度的定义来自欧几里德几何,零维被定义为占零空间的点、一维占零宽度的线、二维占零厚度的面。现实中有谁真见过不占空间的点、无宽的线和无厚的面??可见,

  4. 几何就是假的,而爱因斯坦的相对论正是以几何为数学基础的理论。

综上所述,艺术上的穿越基于了科学上的多重连环假设,其中没有一环得到过实证。任何没有实证的假设都不是真的、都不靠谱。

其次,除了通过一系列假设而凭空捏造的虫洞,《星际穿越》的另一个科学假设就是黑洞。由于黑洞引力特大,接近黑洞的生命就相对活得特长,与之相应的时间也相对变得特慢,因此远航到黑洞附近的宇航员相对地球而言大大“延长”了生命,他们在黑洞附近活过的几十个小时相当于在地球上的几十年。显然,该剧的科学顾问、理论物理学家Kip Thorne(故意)忘记了计算由于引力增加而引起的宇航员的体重增加,换言之,按剧情接近黑洞,Cooper等的体重起码要增加相当于他在地球体重的好几万倍,那么,剧中的Cooper等如何能轻松地生活和作业而没被自身的体重压死?

最后,当然就是Brand教授几十年解决不了,由Cooper的天才女儿Murph解出的那个万能方程公式,完美诠释了万有引力的奥妙,继而成功地把拣选而数量有限的幸存者带离了末日降临的地球。什么叫万能公式或称万物理论?就是完美结合宏观相对论和微观量子力学以后推演出的全能全智的数学公式,再加用于拯救世界的全善。哲学上,相对论是决定论而量子力学是随机论,祈求两个本质上矛盾的理论实现统一并属实,理论上和实际上的难度相当于论证上帝的存在,科学与神学的完美结合。

好莱坞的科幻实为宗教,现代科学的发展不但无碍宗教,反而为宗教神学提供了更多的假设、更广的假想,因为科学的前身就是古希腊的形而上学,而形而上学与神学共享了同一个超自然的思维。就穿越科幻片而言,我认为2016年的《降临》更有创新性(参见我的回答)。做科学的确需要创新的想象和假设,做神学也一样。如何区别神学和科学、其中再夹个形而上学,正确引导青少年热爱科学、识别神学?这是项技术挑战性很强的教育任务。

在未来某个时间的地球上,气候和环境急剧恶化,地球正面临一场严重的农业灾难,农作物难以种植导致人类的粮食严重紧缺。库珀曾是一位飞行员、工程师,如今这个单身爸爸与一对儿女在一座农场里生活。

就在儿女发现一系列奇怪的征兆之后,库珀受到美国航天局邀请被派往太空执行一个艰巨的任务。

原来,地球已濒临灭亡,人类需要紧急寻找新的居住地。库珀与女科学家艾米莉亚及其他两位科学家、两个机器人一同出发,他们要穿越“虫洞”到另一个空间去找寻有可能让人类居住的星球。

作为拯救人类未来计划的一员,库珀被迫离开深爱的女儿和儿子。一晃许多年过去,库珀的女儿长大后竟然也做了一名太空科学家。在库珀女儿的心里一直有一个念头——也许在另外一个时空,能和父亲再次重逢……

世界在历经极端气候与粮食危机,地球濒临末日之际,一位电机工程师(马修·麦康纳 Matthew McConaughey 饰)与一群专业研究者还有顶尖太空人(安妮·海瑟薇 Anne Hathaway 饰),扛起人类史上最重要的任务,越过已知的银河,在星际间寻找未来出路。同时必须先割舍无法与家人见面的亲情牵绊,在爱与勇气、生存与挑战中,跨越星际拯救人类……慢慢看,这电影还可以


确切的问法应该是该剧有哪些不靠谱的科学假设?与宗教相似,艺术求创新不求论证或实证,没有错误可言,大凡能卖座的艺术和宗教肯定错不了。

该剧力求科学严谨,还请了个理论天体物理学家做技术顾问。天体物理学算得上是一门最有代表性的科学,科学做学问的基本思路就是理论假设,接着对理论进行论证或实证,实际上就是古希腊人发明的形而上学逻辑论证。扫读了下已发表的回答,不妨补充下《星际穿越》的三个最基本的艺术夸张和科学误导,虫洞、黑洞和万能公式。

首先,虫洞是个理论假设,基于爱因斯坦的相对论。相对论推断时空可以弯曲,虫洞就是基于时空弯曲这个推断的进一步假设。理论上在表达相对论时为了视觉方便,“三维”之体的时空往往画成“二维”的面,如图,

剧中科学家Romilly用一张纸和一支笔对虫洞的生成做了个精彩的演示。那张纸代表爱因斯坦的“二维”时空,他先用笔在纸面画上间距分开的两个点,分别代表了前后两个任意的时空,比如,今日十二点正的地球相对一万年前半夜十二点的遥远的某星系某星球。既然面可以假设弯曲,那么面也可以假设折叠。于是,Romilly将纸弯曲并对折,使原来前后分开的两个时空点相互接近甚至接触。他再用笔刺穿了纸上两个点的重叠处,于是虫洞就如此这般奇迹诞生了。换言之,宇航员就像那支笔一样可以穿越时空,或前穿或后穿,如图

你相信上述的科学吗?事实上,穿越时空的假设是建立在一系列假设的逻辑推理假想而已,不是真的:

  1. 假设的时空不可折叠。爱因斯坦假设的时空不是“二维”之面而是“三维”之体,你如何折叠一个“三维”体??

  2. 时空本身就是个假设。爱因斯坦在数学操作中假设时间为另一个空间维度而由此发明了时空的概念。现实中时间只是空间变化的历史,并不是实际的存在,换言之,时间是虚假的意念存在而不是真实的空间存在。

  3. 几何的空间维度本身也是个数学假设,事实上我们一直就生活在一个多维的空间。维度也就是空间的走向,所谓的几何维度实为一个凭空捏造的理念,基于笛卡尔为计算空间点位置的方便而发明的坐标系。维度的定义来自欧几里德几何,零维被定义为占零空间的点、一维占零宽度的线、二维占零厚度的面。现实中有谁真见过不占空间的点、无宽的线和无厚的面??可见,

  4. 几何就是假的,而爱因斯坦的相对论正是以几何为数学基础的理论。

综上所述,艺术上的穿越基于了科学上的多重连环假设,其中没有一环得到过实证。任何没有实证的假设都不是真的、都不靠谱。

其次,除了通过一系列假设而凭空捏造的虫洞,《星际穿越》的另一个科学假设就是黑洞。由于黑洞引力特大,接近黑洞的生命就相对活得特长,与之相应的时间也相对变得特慢,因此远航到黑洞附近的宇航员相对地球而言大大“延长”了生命,他们在黑洞附近活过的几十个小时相当于在地球上的几十年。显然,该剧的科学顾问、理论物理学家Kip Thorne(故意)忘记了计算由于引力增加而引起的宇航员的体重增加,换言之,按剧情接近黑洞,Cooper等的体重起码要增加相当于他在地球体重的好几万倍,那么,剧中的Cooper等如何能轻松地生活和作业而没被自身的体重压死?

最后,当然就是Brand教授几十年解决不了,由Cooper的天才女儿Murph解出的那个万能方程公式,完美诠释了万有引力的奥妙,继而成功地把拣选而数量有限的幸存者带离了末日降临的地球。什么叫万能公式或称万物理论?就是完美结合宏观相对论和微观量子力学以后推演出的全能全智的数学公式,再加用于拯救世界的全善。哲学上,相对论是决定论而量子力学是随机论,祈求两个本质上矛盾的理论实现统一并属实,理论上和实际上的难度相当于论证上帝的存在,科学与神学的完美结合。

好莱坞的科幻实为宗教,现代科学的发展不但无碍宗教,反而为宗教神学提供了更多的假设、更广的假想,因为科学的前身就是古希腊的形而上学,而形而上学与神学共享了同一个超自然的思维。就穿越科幻片而言,我认为2016年的《降临》更有创新性(参见我的回答)。做科学的确需要创新的想象和假设,做神学也一样。如何区别神学和科学、其中再夹个形而上学,正确引导青少年热爱科学、识别神学?这是项技术挑战性很强的教育任务。

北大教授说:我拒绝回答,那是我的权利!

确切的问法应该是该剧有哪些不靠谱的科学假设?与宗教相似,艺术求创新不求论证或实证,没有错误可言,大凡能卖座的艺术和宗教肯定错不了。

该剧力求科学严谨,还请了个理论天体物理学家做技术顾问。天体物理学算得上是一门最有代表性的科学,科学做学问的基本思路就是理论假设,接着对理论进行论证或实证,实际上就是古希腊人发明的形而上学逻辑论证。扫读了下已发表的回答,不妨补充下《星际穿越》的三个最基本的艺术夸张和科学误导,虫洞、黑洞和万能公式。

首先,虫洞是个理论假设,基于爱因斯坦的相对论。相对论推断时空可以弯曲,虫洞就是基于时空弯曲这个推断的进一步假设。理论上在表达相对论时为了视觉方便,“三维”之体的时空往往画成“二维”的面,如图,

剧中科学家Romilly用一张纸和一支笔对虫洞的生成做了个精彩的演示。那张纸代表爱因斯坦的“二维”时空,他先用笔在纸面画上间距分开的两个点,分别代表了前后两个任意的时空,比如,今日十二点正的地球相对一万年前半夜十二点的遥远的某星系某星球。既然面可以假设弯曲,那么面也可以假设折叠。于是,Romilly将纸弯曲并对折,使原来前后分开的两个时空点相互接近甚至接触。他再用笔刺穿了纸上两个点的重叠处,于是虫洞就如此这般奇迹诞生了。换言之,宇航员就像那支笔一样可以穿越时空,或前穿或后穿,如图

你相信上述的科学吗?事实上,穿越时空的假设是建立在一系列假设的逻辑推理假想而已,不是真的:

  1. 假设的时空不可折叠。爱因斯坦假设的时空不是“二维”之面而是“三维”之体,你如何折叠一个“三维”体??

  2. 时空本身就是个假设。爱因斯坦在数学操作中假设时间为另一个空间维度而由此发明了时空的概念。现实中时间只是空间变化的历史,并不是实际的存在,换言之,时间是虚假的意念存在而不是真实的空间存在。

  3. 几何的空间维度本身也是个数学假设,事实上我们一直就生活在一个多维的空间。维度也就是空间的走向,所谓的几何维度实为一个凭空捏造的理念,基于笛卡尔为计算空间点位置的方便而发明的坐标系。维度的定义来自欧几里德几何,零维被定义为占零空间的点、一维占零宽度的线、二维占零厚度的面。现实中有谁真见过不占空间的点、无宽的线和无厚的面??可见,

  4. 几何就是假的,而爱因斯坦的相对论正是以几何为数学基础的理论。

综上所述,艺术上的穿越基于了科学上的多重连环假设,其中没有一环得到过实证。任何没有实证的假设都不是真的、都不靠谱。

其次,除了通过一系列假设而凭空捏造的虫洞,《星际穿越》的另一个科学假设就是黑洞。由于黑洞引力特大,接近黑洞的生命就相对活得特长,与之相应的时间也相对变得特慢,因此远航到黑洞附近的宇航员相对地球而言大大“延长”了生命,他们在黑洞附近活过的几十个小时相当于在地球上的几十年。显然,该剧的科学顾问、理论物理学家Kip Thorne(故意)忘记了计算由于引力增加而引起的宇航员的体重增加,换言之,按剧情接近黑洞,Cooper等的体重起码要增加相当于他在地球体重的好几万倍,那么,剧中的Cooper等如何能轻松地生活和作业而没被自身的体重压死?

最后,当然就是Brand教授几十年解决不了,由Cooper的天才女儿Murph解出的那个万能方程公式,完美诠释了万有引力的奥妙,继而成功地把拣选而数量有限的幸存者带离了末日降临的地球。什么叫万能公式或称万物理论?就是完美结合宏观相对论和微观量子力学以后推演出的全能全智的数学公式,再加用于拯救世界的全善。哲学上,相对论是决定论而量子力学是随机论,祈求两个本质上矛盾的理论实现统一并属实,理论上和实际上的难度相当于论证上帝的存在,科学与神学的完美结合。

好莱坞的科幻实为宗教,现代科学的发展不但无碍宗教,反而为宗教神学提供了更多的假设、更广的假想,因为科学的前身就是古希腊的形而上学,而形而上学与神学共享了同一个超自然的思维。就穿越科幻片而言,我认为2016年的《降临》更有创新性(参见我的回答)。做科学的确需要创新的想象和假设,做神学也一样。如何区别神学和科学、其中再夹个形而上学,正确引导青少年热爱科学、识别神学?这是项技术挑战性很强的教育任务。

简单的说,《星际穿越》主要讲的就是,人类面对日益恶化的环境,于是准备寻找其他适宜居住的星球,通过木星旁的一个虫洞,人类穿越到距离地球很远的一个星系,在对于一个又一个的星球确认不适合居住后,被未来的人类传输了“公式”,解开了困扰人类的难题,于是人类成功的度过了这次难关。

如果说剧情的话,主要在叛变、在超立方体内传送知识这两处剧情性比较强,在别的电影情节上,主要是通过人们对于宇宙的极限思维,打造了非常棒的视觉效果。

例如因为巨大的潮汐力而产生的上百米的高浪,在超立方体内类似于“无限”的场景,都让人无比的震撼。

并且在剧情的最后,年轻依旧的库珀,来到自己已经白发苍苍的女儿面前,电影为我们打造了因为相对论关系而造成的时间偏差的场景,让我们对于科学的认知,无不感到惊奇。


我是希言,欢迎关注我了解更多科幻电影资讯,谢谢。

确切的问法应该是该剧有哪些不靠谱的科学假设?与宗教相似,艺术求创新不求论证或实证,没有错误可言,大凡能卖座的艺术和宗教肯定错不了。

该剧力求科学严谨,还请了个理论天体物理学家做技术顾问。天体物理学算得上是一门最有代表性的科学,科学做学问的基本思路就是理论假设,接着对理论进行论证或实证,实际上就是古希腊人发明的形而上学逻辑论证。扫读了下已发表的回答,不妨补充下《星际穿越》的三个最基本的艺术夸张和科学误导,虫洞、黑洞和万能公式。

首先,虫洞是个理论假设,基于爱因斯坦的相对论。相对论推断时空可以弯曲,虫洞就是基于时空弯曲这个推断的进一步假设。理论上在表达相对论时为了视觉方便,“三维”之体的时空往往画成“二维”的面,如图,

剧中科学家Romilly用一张纸和一支笔对虫洞的生成做了个精彩的演示。那张纸代表爱因斯坦的“二维”时空,他先用笔在纸面画上间距分开的两个点,分别代表了前后两个任意的时空,比如,今日十二点正的地球相对一万年前半夜十二点的遥远的某星系某星球。既然面可以假设弯曲,那么面也可以假设折叠。于是,Romilly将纸弯曲并对折,使原来前后分开的两个时空点相互接近甚至接触。他再用笔刺穿了纸上两个点的重叠处,于是虫洞就如此这般奇迹诞生了。换言之,宇航员就像那支笔一样可以穿越时空,或前穿或后穿,如图

你相信上述的科学吗?事实上,穿越时空的假设是建立在一系列假设的逻辑推理假想而已,不是真的:

  1. 假设的时空不可折叠。爱因斯坦假设的时空不是“二维”之面而是“三维”之体,你如何折叠一个“三维”体??

  2. 时空本身就是个假设。爱因斯坦在数学操作中假设时间为另一个空间维度而由此发明了时空的概念。现实中时间只是空间变化的历史,并不是实际的存在,换言之,时间是虚假的意念存在而不是真实的空间存在。

  3. 几何的空间维度本身也是个数学假设,事实上我们一直就生活在一个多维的空间。维度也就是空间的走向,所谓的几何维度实为一个凭空捏造的理念,基于笛卡尔为计算空间点位置的方便而发明的坐标系。维度的定义来自欧几里德几何,零维被定义为占零空间的点、一维占零宽度的线、二维占零厚度的面。现实中有谁真见过不占空间的点、无宽的线和无厚的面??可见,

  4. 几何就是假的,而爱因斯坦的相对论正是以几何为数学基础的理论。

综上所述,艺术上的穿越基于了科学上的多重连环假设,其中没有一环得到过实证。任何没有实证的假设都不是真的、都不靠谱。

其次,除了通过一系列假设而凭空捏造的虫洞,《星际穿越》的另一个科学假设就是黑洞。由于黑洞引力特大,接近黑洞的生命就相对活得特长,与之相应的时间也相对变得特慢,因此远航到黑洞附近的宇航员相对地球而言大大“延长”了生命,他们在黑洞附近活过的几十个小时相当于在地球上的几十年。显然,该剧的科学顾问、理论物理学家Kip Thorne(故意)忘记了计算由于引力增加而引起的宇航员的体重增加,换言之,按剧情接近黑洞,Cooper等的体重起码要增加相当于他在地球体重的好几万倍,那么,剧中的Cooper等如何能轻松地生活和作业而没被自身的体重压死?

最后,当然就是Brand教授几十年解决不了,由Cooper的天才女儿Murph解出的那个万能方程公式,完美诠释了万有引力的奥妙,继而成功地把拣选而数量有限的幸存者带离了末日降临的地球。什么叫万能公式或称万物理论?就是完美结合宏观相对论和微观量子力学以后推演出的全能全智的数学公式,再加用于拯救世界的全善。哲学上,相对论是决定论而量子力学是随机论,祈求两个本质上矛盾的理论实现统一并属实,理论上和实际上的难度相当于论证上帝的存在,科学与神学的完美结合。

好莱坞的科幻实为宗教,现代科学的发展不但无碍宗教,反而为宗教神学提供了更多的假设、更广的假想,因为科学的前身就是古希腊的形而上学,而形而上学与神学共享了同一个超自然的思维。就穿越科幻片而言,我认为2016年的《降临》更有创新性(参见我的回答)。做科学的确需要创新的想象和假设,做神学也一样。如何区别神学和科学、其中再夹个形而上学,正确引导青少年热爱科学、识别神学?这是项技术挑战性很强的教育任务。

简单的说,《星际穿越》主要讲的就是,人类面对日益恶化的环境,于是准备寻找其他适宜居住的星球,通过木星旁的一个虫洞,人类穿越到距离地球很远的一个星系,在对于一个又一个的星球确认不适合居住后,被未来的人类传输了“公式”,解开了困扰人类的难题,于是人类成功的度过了这次难关。

如果说剧情的话,主要在叛变、在超立方体内传送知识这两处剧情性比较强,在别的电影情节上,主要是通过人们对于宇宙的极限思维,打造了非常棒的视觉效果。

例如因为巨大的潮汐力而产生的上百米的高浪,在超立方体内类似于“无限”的场景,都让人无比的震撼。

并且在剧情的最后,年轻依旧的库珀,来到自己已经白发苍苍的女儿面前,电影为我们打造了因为相对论关系而造成的时间偏差的场景,让我们对于科学的认知,无不感到惊奇。


我是希言,欢迎关注我了解更多科幻电影资讯,谢谢。

确切的问法应该是该剧有哪些不靠谱的科学假设?与宗教相似,艺术求创新不求论证或实证,没有错误可言,大凡能卖座的艺术和宗教肯定错不了。

该剧力求科学严谨,还请了个理论天体物理学家做技术顾问。天体物理学算得上是一门最有代表性的科学,科学做学问的基本思路就是理论假设,接着对理论进行论证或实证,实际上就是古希腊人发明的形而上学逻辑论证。扫读了下已发表的回答,不妨补充下《星际穿越》的三个最基本的艺术夸张和科学误导,虫洞、黑洞和万能公式。

首先,虫洞是个理论假设,基于爱因斯坦的相对论。相对论推断时空可以弯曲,虫洞就是基于时空弯曲这个推断的进一步假设。理论上在表达相对论时为了视觉方便,“三维”之体的时空往往画成“二维”的面,如图,

剧中科学家Romilly用一张纸和一支笔对虫洞的生成做了个精彩的演示。那张纸代表爱因斯坦的“二维”时空,他先用笔在纸面画上间距分开的两个点,分别代表了前后两个任意的时空,比如,今日十二点正的地球相对一万年前半夜十二点的遥远的某星系某星球。既然面可以假设弯曲,那么面也可以假设折叠。于是,Romilly将纸弯曲并对折,使原来前后分开的两个时空点相互接近甚至接触。他再用笔刺穿了纸上两个点的重叠处,于是虫洞就如此这般奇迹诞生了。换言之,宇航员就像那支笔一样可以穿越时空,或前穿或后穿,如图

你相信上述的科学吗?事实上,穿越时空的假设是建立在一系列假设的逻辑推理假想而已,不是真的:

  1. 假设的时空不可折叠。爱因斯坦假设的时空不是“二维”之面而是“三维”之体,你如何折叠一个“三维”体??

  2. 时空本身就是个假设。爱因斯坦在数学操作中假设时间为另一个空间维度而由此发明了时空的概念。现实中时间只是空间变化的历史,并不是实际的存在,换言之,时间是虚假的意念存在而不是真实的空间存在。

  3. 几何的空间维度本身也是个数学假设,事实上我们一直就生活在一个多维的空间。维度也就是空间的走向,所谓的几何维度实为一个凭空捏造的理念,基于笛卡尔为计算空间点位置的方便而发明的坐标系。维度的定义来自欧几里德几何,零维被定义为占零空间的点、一维占零宽度的线、二维占零厚度的面。现实中有谁真见过不占空间的点、无宽的线和无厚的面??可见,

  4. 几何就是假的,而爱因斯坦的相对论正是以几何为数学基础的理论。

综上所述,艺术上的穿越基于了科学上的多重连环假设,其中没有一环得到过实证。任何没有实证的假设都不是真的、都不靠谱。

其次,除了通过一系列假设而凭空捏造的虫洞,《星际穿越》的另一个科学假设就是黑洞。由于黑洞引力特大,接近黑洞的生命就相对活得特长,与之相应的时间也相对变得特慢,因此远航到黑洞附近的宇航员相对地球而言大大“延长”了生命,他们在黑洞附近活过的几十个小时相当于在地球上的几十年。显然,该剧的科学顾问、理论物理学家Kip Thorne(故意)忘记了计算由于引力增加而引起的宇航员的体重增加,换言之,按剧情接近黑洞,Cooper等的体重起码要增加相当于他在地球体重的好几万倍,那么,剧中的Cooper等如何能轻松地生活和作业而没被自身的体重压死?

最后,当然就是Brand教授几十年解决不了,由Cooper的天才女儿Murph解出的那个万能方程公式,完美诠释了万有引力的奥妙,继而成功地把拣选而数量有限的幸存者带离了末日降临的地球。什么叫万能公式或称万物理论?就是完美结合宏观相对论和微观量子力学以后推演出的全能全智的数学公式,再加用于拯救世界的全善。哲学上,相对论是决定论而量子力学是随机论,祈求两个本质上矛盾的理论实现统一并属实,理论上和实际上的难度相当于论证上帝的存在,科学与神学的完美结合。

好莱坞的科幻实为宗教,现代科学的发展不但无碍宗教,反而为宗教神学提供了更多的假设、更广的假想,因为科学的前身就是古希腊的形而上学,而形而上学与神学共享了同一个超自然的思维。就穿越科幻片而言,我认为2016年的《降临》更有创新性(参见我的回答)。做科学的确需要创新的想象和假设,做神学也一样。如何区别神学和科学、其中再夹个形而上学,正确引导青少年热爱科学、识别神学?这是项技术挑战性很强的教育任务。

没有,星际穿越是最伟大的科幻电影,没有之一

确切的问法应该是该剧有哪些不靠谱的科学假设?与宗教相似,艺术求创新不求论证或实证,没有错误可言,大凡能卖座的艺术和宗教肯定错不了。

该剧力求科学严谨,还请了个理论天体物理学家做技术顾问。天体物理学算得上是一门最有代表性的科学,科学做学问的基本思路就是理论假设,接着对理论进行论证或实证,实际上就是古希腊人发明的形而上学逻辑论证。扫读了下已发表的回答,不妨补充下《星际穿越》的三个最基本的艺术夸张和科学误导,虫洞、黑洞和万能公式。

首先,虫洞是个理论假设,基于爱因斯坦的相对论。相对论推断时空可以弯曲,虫洞就是基于时空弯曲这个推断的进一步假设。理论上在表达相对论时为了视觉方便,“三维”之体的时空往往画成“二维”的面,如图,

剧中科学家Romilly用一张纸和一支笔对虫洞的生成做了个精彩的演示。那张纸代表爱因斯坦的“二维”时空,他先用笔在纸面画上间距分开的两个点,分别代表了前后两个任意的时空,比如,今日十二点正的地球相对一万年前半夜十二点的遥远的某星系某星球。既然面可以假设弯曲,那么面也可以假设折叠。于是,Romilly将纸弯曲并对折,使原来前后分开的两个时空点相互接近甚至接触。他再用笔刺穿了纸上两个点的重叠处,于是虫洞就如此这般奇迹诞生了。换言之,宇航员就像那支笔一样可以穿越时空,或前穿或后穿,如图

你相信上述的科学吗?事实上,穿越时空的假设是建立在一系列假设的逻辑推理假想而已,不是真的:

  1. 假设的时空不可折叠。爱因斯坦假设的时空不是“二维”之面而是“三维”之体,你如何折叠一个“三维”体??

  2. 时空本身就是个假设。爱因斯坦在数学操作中假设时间为另一个空间维度而由此发明了时空的概念。现实中时间只是空间变化的历史,并不是实际的存在,换言之,时间是虚假的意念存在而不是真实的空间存在。

  3. 几何的空间维度本身也是个数学假设,事实上我们一直就生活在一个多维的空间。维度也就是空间的走向,所谓的几何维度实为一个凭空捏造的理念,基于笛卡尔为计算空间点位置的方便而发明的坐标系。维度的定义来自欧几里德几何,零维被定义为占零空间的点、一维占零宽度的线、二维占零厚度的面。现实中有谁真见过不占空间的点、无宽的线和无厚的面??可见,

  4. 几何就是假的,而爱因斯坦的相对论正是以几何为数学基础的理论。

综上所述,艺术上的穿越基于了科学上的多重连环假设,其中没有一环得到过实证。任何没有实证的假设都不是真的、都不靠谱。

其次,除了通过一系列假设而凭空捏造的虫洞,《星际穿越》的另一个科学假设就是黑洞。由于黑洞引力特大,接近黑洞的生命就相对活得特长,与之相应的时间也相对变得特慢,因此远航到黑洞附近的宇航员相对地球而言大大“延长”了生命,他们在黑洞附近活过的几十个小时相当于在地球上的几十年。显然,该剧的科学顾问、理论物理学家Kip Thorne(故意)忘记了计算由于引力增加而引起的宇航员的体重增加,换言之,按剧情接近黑洞,Cooper等的体重起码要增加相当于他在地球体重的好几万倍,那么,剧中的Cooper等如何能轻松地生活和作业而没被自身的体重压死?

最后,当然就是Brand教授几十年解决不了,由Cooper的天才女儿Murph解出的那个万能方程公式,完美诠释了万有引力的奥妙,继而成功地把拣选而数量有限的幸存者带离了末日降临的地球。什么叫万能公式或称万物理论?就是完美结合宏观相对论和微观量子力学以后推演出的全能全智的数学公式,再加用于拯救世界的全善。哲学上,相对论是决定论而量子力学是随机论,祈求两个本质上矛盾的理论实现统一并属实,理论上和实际上的难度相当于论证上帝的存在,科学与神学的完美结合。

好莱坞的科幻实为宗教,现代科学的发展不但无碍宗教,反而为宗教神学提供了更多的假设、更广的假想,因为科学的前身就是古希腊的形而上学,而形而上学与神学共享了同一个超自然的思维。就穿越科幻片而言,我认为2016年的《降临》更有创新性(参见我的回答)。做科学的确需要创新的想象和假设,做神学也一样。如何区别神学和科学、其中再夹个形而上学,正确引导青少年热爱科学、识别神学?这是项技术挑战性很强的教育任务。

在未来某个时间的地球上,气候和环境急剧恶化,地球正面临一场严重的农业灾难,农作物难以种植导致人类的粮食严重紧缺。库珀曾是一位飞行员、工程师,如今这个单身爸爸与一对儿女在一座农场里生活。

就在儿女发现一系列奇怪的征兆之后,库珀受到美国航天局邀请被派往太空执行一个艰巨的任务。

原来,地球已濒临灭亡,人类需要紧急寻找新的居住地。库珀与女科学家艾米莉亚及其他两位科学家、两个机器人一同出发,他们要穿越“虫洞”到另一个空间去找寻有可能让人类居住的星球。

作为拯救人类未来计划的一员,库珀被迫离开深爱的女儿和儿子。一晃许多年过去,库珀的女儿长大后竟然也做了一名太空科学家。在库珀女儿的心里一直有一个念头——也许在另外一个时空,能和父亲再次重逢……

世界在历经极端气候与粮食危机,地球濒临末日之际,一位电机工程师(马修·麦康纳 Matthew McConaughey 饰)与一群专业研究者还有顶尖太空人(安妮·海瑟薇 Anne Hathaway 饰),扛起人类史上最重要的任务,越过已知的银河,在星际间寻找未来出路。同时必须先割舍无法与家人见面的亲情牵绊,在爱与勇气、生存与挑战中,跨越星际拯救人类……慢慢看,这电影还可以


确切的问法应该是该剧有哪些不靠谱的科学假设?与宗教相似,艺术求创新不求论证或实证,没有错误可言,大凡能卖座的艺术和宗教肯定错不了。

该剧力求科学严谨,还请了个理论天体物理学家做技术顾问。天体物理学算得上是一门最有代表性的科学,科学做学问的基本思路就是理论假设,接着对理论进行论证或实证,实际上就是古希腊人发明的形而上学逻辑论证。扫读了下已发表的回答,不妨补充下《星际穿越》的三个最基本的艺术夸张和科学误导,虫洞、黑洞和万能公式。

首先,虫洞是个理论假设,基于爱因斯坦的相对论。相对论推断时空可以弯曲,虫洞就是基于时空弯曲这个推断的进一步假设。理论上在表达相对论时为了视觉方便,“三维”之体的时空往往画成“二维”的面,如图,

剧中科学家Romilly用一张纸和一支笔对虫洞的生成做了个精彩的演示。那张纸代表爱因斯坦的“二维”时空,他先用笔在纸面画上间距分开的两个点,分别代表了前后两个任意的时空,比如,今日十二点正的地球相对一万年前半夜十二点的遥远的某星系某星球。既然面可以假设弯曲,那么面也可以假设折叠。于是,Romilly将纸弯曲并对折,使原来前后分开的两个时空点相互接近甚至接触。他再用笔刺穿了纸上两个点的重叠处,于是虫洞就如此这般奇迹诞生了。换言之,宇航员就像那支笔一样可以穿越时空,或前穿或后穿,如图

你相信上述的科学吗?事实上,穿越时空的假设是建立在一系列假设的逻辑推理假想而已,不是真的:

  1. 假设的时空不可折叠。爱因斯坦假设的时空不是“二维”之面而是“三维”之体,你如何折叠一个“三维”体??

  2. 时空本身就是个假设。爱因斯坦在数学操作中假设时间为另一个空间维度而由此发明了时空的概念。现实中时间只是空间变化的历史,并不是实际的存在,换言之,时间是虚假的意念存在而不是真实的空间存在。

  3. 几何的空间维度本身也是个数学假设,事实上我们一直就生活在一个多维的空间。维度也就是空间的走向,所谓的几何维度实为一个凭空捏造的理念,基于笛卡尔为计算空间点位置的方便而发明的坐标系。维度的定义来自欧几里德几何,零维被定义为占零空间的点、一维占零宽度的线、二维占零厚度的面。现实中有谁真见过不占空间的点、无宽的线和无厚的面??可见,

  4. 几何就是假的,而爱因斯坦的相对论正是以几何为数学基础的理论。

综上所述,艺术上的穿越基于了科学上的多重连环假设,其中没有一环得到过实证。任何没有实证的假设都不是真的、都不靠谱。

其次,除了通过一系列假设而凭空捏造的虫洞,《星际穿越》的另一个科学假设就是黑洞。由于黑洞引力特大,接近黑洞的生命就相对活得特长,与之相应的时间也相对变得特慢,因此远航到黑洞附近的宇航员相对地球而言大大“延长”了生命,他们在黑洞附近活过的几十个小时相当于在地球上的几十年。显然,该剧的科学顾问、理论物理学家Kip Thorne(故意)忘记了计算由于引力增加而引起的宇航员的体重增加,换言之,按剧情接近黑洞,Cooper等的体重起码要增加相当于他在地球体重的好几万倍,那么,剧中的Cooper等如何能轻松地生活和作业而没被自身的体重压死?

最后,当然就是Brand教授几十年解决不了,由Cooper的天才女儿Murph解出的那个万能方程公式,完美诠释了万有引力的奥妙,继而成功地把拣选而数量有限的幸存者带离了末日降临的地球。什么叫万能公式或称万物理论?就是完美结合宏观相对论和微观量子力学以后推演出的全能全智的数学公式,再加用于拯救世界的全善。哲学上,相对论是决定论而量子力学是随机论,祈求两个本质上矛盾的理论实现统一并属实,理论上和实际上的难度相当于论证上帝的存在,科学与神学的完美结合。

好莱坞的科幻实为宗教,现代科学的发展不但无碍宗教,反而为宗教神学提供了更多的假设、更广的假想,因为科学的前身就是古希腊的形而上学,而形而上学与神学共享了同一个超自然的思维。就穿越科幻片而言,我认为2016年的《降临》更有创新性(参见我的回答)。做科学的确需要创新的想象和假设,做神学也一样。如何区别神学和科学、其中再夹个形而上学,正确引导青少年热爱科学、识别神学?这是项技术挑战性很强的教育任务。

这就是我的答案


确切的问法应该是该剧有哪些不靠谱的科学假设?与宗教相似,艺术求创新不求论证或实证,没有错误可言,大凡能卖座的艺术和宗教肯定错不了。

该剧力求科学严谨,还请了个理论天体物理学家做技术顾问。天体物理学算得上是一门最有代表性的科学,科学做学问的基本思路就是理论假设,接着对理论进行论证或实证,实际上就是古希腊人发明的形而上学逻辑论证。扫读了下已发表的回答,不妨补充下《星际穿越》的三个最基本的艺术夸张和科学误导,虫洞、黑洞和万能公式。

首先,虫洞是个理论假设,基于爱因斯坦的相对论。相对论推断时空可以弯曲,虫洞就是基于时空弯曲这个推断的进一步假设。理论上在表达相对论时为了视觉方便,“三维”之体的时空往往画成“二维”的面,如图,

剧中科学家Romilly用一张纸和一支笔对虫洞的生成做了个精彩的演示。那张纸代表爱因斯坦的“二维”时空,他先用笔在纸面画上间距分开的两个点,分别代表了前后两个任意的时空,比如,今日十二点正的地球相对一万年前半夜十二点的遥远的某星系某星球。既然面可以假设弯曲,那么面也可以假设折叠。于是,Romilly将纸弯曲并对折,使原来前后分开的两个时空点相互接近甚至接触。他再用笔刺穿了纸上两个点的重叠处,于是虫洞就如此这般奇迹诞生了。换言之,宇航员就像那支笔一样可以穿越时空,或前穿或后穿,如图

你相信上述的科学吗?事实上,穿越时空的假设是建立在一系列假设的逻辑推理假想而已,不是真的:

  1. 假设的时空不可折叠。爱因斯坦假设的时空不是“二维”之面而是“三维”之体,你如何折叠一个“三维”体??

  2. 时空本身就是个假设。爱因斯坦在数学操作中假设时间为另一个空间维度而由此发明了时空的概念。现实中时间只是空间变化的历史,并不是实际的存在,换言之,时间是虚假的意念存在而不是真实的空间存在。

  3. 几何的空间维度本身也是个数学假设,事实上我们一直就生活在一个多维的空间。维度也就是空间的走向,所谓的几何维度实为一个凭空捏造的理念,基于笛卡尔为计算空间点位置的方便而发明的坐标系。维度的定义来自欧几里德几何,零维被定义为占零空间的点、一维占零宽度的线、二维占零厚度的面。现实中有谁真见过不占空间的点、无宽的线和无厚的面??可见,

  4. 几何就是假的,而爱因斯坦的相对论正是以几何为数学基础的理论。

综上所述,艺术上的穿越基于了科学上的多重连环假设,其中没有一环得到过实证。任何没有实证的假设都不是真的、都不靠谱。

其次,除了通过一系列假设而凭空捏造的虫洞,《星际穿越》的另一个科学假设就是黑洞。由于黑洞引力特大,接近黑洞的生命就相对活得特长,与之相应的时间也相对变得特慢,因此远航到黑洞附近的宇航员相对地球而言大大“延长”了生命,他们在黑洞附近活过的几十个小时相当于在地球上的几十年。显然,该剧的科学顾问、理论物理学家Kip Thorne(故意)忘记了计算由于引力增加而引起的宇航员的体重增加,换言之,按剧情接近黑洞,Cooper等的体重起码要增加相当于他在地球体重的好几万倍,那么,剧中的Cooper等如何能轻松地生活和作业而没被自身的体重压死?

最后,当然就是Brand教授几十年解决不了,由Cooper的天才女儿Murph解出的那个万能方程公式,完美诠释了万有引力的奥妙,继而成功地把拣选而数量有限的幸存者带离了末日降临的地球。什么叫万能公式或称万物理论?就是完美结合宏观相对论和微观量子力学以后推演出的全能全智的数学公式,再加用于拯救世界的全善。哲学上,相对论是决定论而量子力学是随机论,祈求两个本质上矛盾的理论实现统一并属实,理论上和实际上的难度相当于论证上帝的存在,科学与神学的完美结合。

好莱坞的科幻实为宗教,现代科学的发展不但无碍宗教,反而为宗教神学提供了更多的假设、更广的假想,因为科学的前身就是古希腊的形而上学,而形而上学与神学共享了同一个超自然的思维。就穿越科幻片而言,我认为2016年的《降临》更有创新性(参见我的回答)。做科学的确需要创新的想象和假设,做神学也一样。如何区别神学和科学、其中再夹个形而上学,正确引导青少年热爱科学、识别神学?这是项技术挑战性很强的教育任务。

北大教授说:我拒绝回答,那是我的权利!

确切的问法应该是该剧有哪些不靠谱的科学假设?与宗教相似,艺术求创新不求论证或实证,没有错误可言,大凡能卖座的艺术和宗教肯定错不了。

该剧力求科学严谨,还请了个理论天体物理学家做技术顾问。天体物理学算得上是一门最有代表性的科学,科学做学问的基本思路就是理论假设,接着对理论进行论证或实证,实际上就是古希腊人发明的形而上学逻辑论证。扫读了下已发表的回答,不妨补充下《星际穿越》的三个最基本的艺术夸张和科学误导,虫洞、黑洞和万能公式。

首先,虫洞是个理论假设,基于爱因斯坦的相对论。相对论推断时空可以弯曲,虫洞就是基于时空弯曲这个推断的进一步假设。理论上在表达相对论时为了视觉方便,“三维”之体的时空往往画成“二维”的面,如图,

剧中科学家Romilly用一张纸和一支笔对虫洞的生成做了个精彩的演示。那张纸代表爱因斯坦的“二维”时空,他先用笔在纸面画上间距分开的两个点,分别代表了前后两个任意的时空,比如,今日十二点正的地球相对一万年前半夜十二点的遥远的某星系某星球。既然面可以假设弯曲,那么面也可以假设折叠。于是,Romilly将纸弯曲并对折,使原来前后分开的两个时空点相互接近甚至接触。他再用笔刺穿了纸上两个点的重叠处,于是虫洞就如此这般奇迹诞生了。换言之,宇航员就像那支笔一样可以穿越时空,或前穿或后穿,如图

你相信上述的科学吗?事实上,穿越时空的假设是建立在一系列假设的逻辑推理假想而已,不是真的:

  1. 假设的时空不可折叠。爱因斯坦假设的时空不是“二维”之面而是“三维”之体,你如何折叠一个“三维”体??

  2. 时空本身就是个假设。爱因斯坦在数学操作中假设时间为另一个空间维度而由此发明了时空的概念。现实中时间只是空间变化的历史,并不是实际的存在,换言之,时间是虚假的意念存在而不是真实的空间存在。

  3. 几何的空间维度本身也是个数学假设,事实上我们一直就生活在一个多维的空间。维度也就是空间的走向,所谓的几何维度实为一个凭空捏造的理念,基于笛卡尔为计算空间点位置的方便而发明的坐标系。维度的定义来自欧几里德几何,零维被定义为占零空间的点、一维占零宽度的线、二维占零厚度的面。现实中有谁真见过不占空间的点、无宽的线和无厚的面??可见,

  4. 几何就是假的,而爱因斯坦的相对论正是以几何为数学基础的理论。

综上所述,艺术上的穿越基于了科学上的多重连环假设,其中没有一环得到过实证。任何没有实证的假设都不是真的、都不靠谱。

其次,除了通过一系列假设而凭空捏造的虫洞,《星际穿越》的另一个科学假设就是黑洞。由于黑洞引力特大,接近黑洞的生命就相对活得特长,与之相应的时间也相对变得特慢,因此远航到黑洞附近的宇航员相对地球而言大大“延长”了生命,他们在黑洞附近活过的几十个小时相当于在地球上的几十年。显然,该剧的科学顾问、理论物理学家Kip Thorne(故意)忘记了计算由于引力增加而引起的宇航员的体重增加,换言之,按剧情接近黑洞,Cooper等的体重起码要增加相当于他在地球体重的好几万倍,那么,剧中的Cooper等如何能轻松地生活和作业而没被自身的体重压死?

最后,当然就是Brand教授几十年解决不了,由Cooper的天才女儿Murph解出的那个万能方程公式,完美诠释了万有引力的奥妙,继而成功地把拣选而数量有限的幸存者带离了末日降临的地球。什么叫万能公式或称万物理论?就是完美结合宏观相对论和微观量子力学以后推演出的全能全智的数学公式,再加用于拯救世界的全善。哲学上,相对论是决定论而量子力学是随机论,祈求两个本质上矛盾的理论实现统一并属实,理论上和实际上的难度相当于论证上帝的存在,科学与神学的完美结合。

好莱坞的科幻实为宗教,现代科学的发展不但无碍宗教,反而为宗教神学提供了更多的假设、更广的假想,因为科学的前身就是古希腊的形而上学,而形而上学与神学共享了同一个超自然的思维。就穿越科幻片而言,我认为2016年的《降临》更有创新性(参见我的回答)。做科学的确需要创新的想象和假设,做神学也一样。如何区别神学和科学、其中再夹个形而上学,正确引导青少年热爱科学、识别神学?这是项技术挑战性很强的教育任务。

简单的说,《星际穿越》主要讲的就是,人类面对日益恶化的环境,于是准备寻找其他适宜居住的星球,通过木星旁的一个虫洞,人类穿越到距离地球很远的一个星系,在对于一个又一个的星球确认不适合居住后,被未来的人类传输了“公式”,解开了困扰人类的难题,于是人类成功的度过了这次难关。

如果说剧情的话,主要在叛变、在超立方体内传送知识这两处剧情性比较强,在别的电影情节上,主要是通过人们对于宇宙的极限思维,打造了非常棒的视觉效果。

例如因为巨大的潮汐力而产生的上百米的高浪,在超立方体内类似于“无限”的场景,都让人无比的震撼。

并且在剧情的最后,年轻依旧的库珀,来到自己已经白发苍苍的女儿面前,电影为我们打造了因为相对论关系而造成的时间偏差的场景,让我们对于科学的认知,无不感到惊奇。


我是希言,欢迎关注我了解更多科幻电影资讯,谢谢。

确切的问法应该是该剧有哪些不靠谱的科学假设?与宗教相似,艺术求创新不求论证或实证,没有错误可言,大凡能卖座的艺术和宗教肯定错不了。

该剧力求科学严谨,还请了个理论天体物理学家做技术顾问。天体物理学算得上是一门最有代表性的科学,科学做学问的基本思路就是理论假设,接着对理论进行论证或实证,实际上就是古希腊人发明的形而上学逻辑论证。扫读了下已发表的回答,不妨补充下《星际穿越》的三个最基本的艺术夸张和科学误导,虫洞、黑洞和万能公式。

首先,虫洞是个理论假设,基于爱因斯坦的相对论。相对论推断时空可以弯曲,虫洞就是基于时空弯曲这个推断的进一步假设。理论上在表达相对论时为了视觉方便,“三维”之体的时空往往画成“二维”的面,如图,

剧中科学家Romilly用一张纸和一支笔对虫洞的生成做了个精彩的演示。那张纸代表爱因斯坦的“二维”时空,他先用笔在纸面画上间距分开的两个点,分别代表了前后两个任意的时空,比如,今日十二点正的地球相对一万年前半夜十二点的遥远的某星系某星球。既然面可以假设弯曲,那么面也可以假设折叠。于是,Romilly将纸弯曲并对折,使原来前后分开的两个时空点相互接近甚至接触。他再用笔刺穿了纸上两个点的重叠处,于是虫洞就如此这般奇迹诞生了。换言之,宇航员就像那支笔一样可以穿越时空,或前穿或后穿,如图

你相信上述的科学吗?事实上,穿越时空的假设是建立在一系列假设的逻辑推理假想而已,不是真的:

  1. 假设的时空不可折叠。爱因斯坦假设的时空不是“二维”之面而是“三维”之体,你如何折叠一个“三维”体??

  2. 时空本身就是个假设。爱因斯坦在数学操作中假设时间为另一个空间维度而由此发明了时空的概念。现实中时间只是空间变化的历史,并不是实际的存在,换言之,时间是虚假的意念存在而不是真实的空间存在。

  3. 几何的空间维度本身也是个数学假设,事实上我们一直就生活在一个多维的空间。维度也就是空间的走向,所谓的几何维度实为一个凭空捏造的理念,基于笛卡尔为计算空间点位置的方便而发明的坐标系。维度的定义来自欧几里德几何,零维被定义为占零空间的点、一维占零宽度的线、二维占零厚度的面。现实中有谁真见过不占空间的点、无宽的线和无厚的面??可见,

  4. 几何就是假的,而爱因斯坦的相对论正是以几何为数学基础的理论。

综上所述,艺术上的穿越基于了科学上的多重连环假设,其中没有一环得到过实证。任何没有实证的假设都不是真的、都不靠谱。

其次,除了通过一系列假设而凭空捏造的虫洞,《星际穿越》的另一个科学假设就是黑洞。由于黑洞引力特大,接近黑洞的生命就相对活得特长,与之相应的时间也相对变得特慢,因此远航到黑洞附近的宇航员相对地球而言大大“延长”了生命,他们在黑洞附近活过的几十个小时相当于在地球上的几十年。显然,该剧的科学顾问、理论物理学家Kip Thorne(故意)忘记了计算由于引力增加而引起的宇航员的体重增加,换言之,按剧情接近黑洞,Cooper等的体重起码要增加相当于他在地球体重的好几万倍,那么,剧中的Cooper等如何能轻松地生活和作业而没被自身的体重压死?

最后,当然就是Brand教授几十年解决不了,由Cooper的天才女儿Murph解出的那个万能方程公式,完美诠释了万有引力的奥妙,继而成功地把拣选而数量有限的幸存者带离了末日降临的地球。什么叫万能公式或称万物理论?就是完美结合宏观相对论和微观量子力学以后推演出的全能全智的数学公式,再加用于拯救世界的全善。哲学上,相对论是决定论而量子力学是随机论,祈求两个本质上矛盾的理论实现统一并属实,理论上和实际上的难度相当于论证上帝的存在,科学与神学的完美结合。

好莱坞的科幻实为宗教,现代科学的发展不但无碍宗教,反而为宗教神学提供了更多的假设、更广的假想,因为科学的前身就是古希腊的形而上学,而形而上学与神学共享了同一个超自然的思维。就穿越科幻片而言,我认为2016年的《降临》更有创新性(参见我的回答)。做科学的确需要创新的想象和假设,做神学也一样。如何区别神学和科学、其中再夹个形而上学,正确引导青少年热爱科学、识别神学?这是项技术挑战性很强的教育任务。

简单的说,《星际穿越》主要讲的就是,人类面对日益恶化的环境,于是准备寻找其他适宜居住的星球,通过木星旁的一个虫洞,人类穿越到距离地球很远的一个星系,在对于一个又一个的星球确认不适合居住后,被未来的人类传输了“公式”,解开了困扰人类的难题,于是人类成功的度过了这次难关。

如果说剧情的话,主要在叛变、在超立方体内传送知识这两处剧情性比较强,在别的电影情节上,主要是通过人们对于宇宙的极限思维,打造了非常棒的视觉效果。

例如因为巨大的潮汐力而产生的上百米的高浪,在超立方体内类似于“无限”的场景,都让人无比的震撼。

并且在剧情的最后,年轻依旧的库珀,来到自己已经白发苍苍的女儿面前,电影为我们打造了因为相对论关系而造成的时间偏差的场景,让我们对于科学的认知,无不感到惊奇。


我是希言,欢迎关注我了解更多科幻电影资讯,谢谢。

确切的问法应该是该剧有哪些不靠谱的科学假设?与宗教相似,艺术求创新不求论证或实证,没有错误可言,大凡能卖座的艺术和宗教肯定错不了。

该剧力求科学严谨,还请了个理论天体物理学家做技术顾问。天体物理学算得上是一门最有代表性的科学,科学做学问的基本思路就是理论假设,接着对理论进行论证或实证,实际上就是古希腊人发明的形而上学逻辑论证。扫读了下已发表的回答,不妨补充下《星际穿越》的三个最基本的艺术夸张和科学误导,虫洞、黑洞和万能公式。

首先,虫洞是个理论假设,基于爱因斯坦的相对论。相对论推断时空可以弯曲,虫洞就是基于时空弯曲这个推断的进一步假设。理论上在表达相对论时为了视觉方便,“三维”之体的时空往往画成“二维”的面,如图,

剧中科学家Romilly用一张纸和一支笔对虫洞的生成做了个精彩的演示。那张纸代表爱因斯坦的“二维”时空,他先用笔在纸面画上间距分开的两个点,分别代表了前后两个任意的时空,比如,今日十二点正的地球相对一万年前半夜十二点的遥远的某星系某星球。既然面可以假设弯曲,那么面也可以假设折叠。于是,Romilly将纸弯曲并对折,使原来前后分开的两个时空点相互接近甚至接触。他再用笔刺穿了纸上两个点的重叠处,于是虫洞就如此这般奇迹诞生了。换言之,宇航员就像那支笔一样可以穿越时空,或前穿或后穿,如图

你相信上述的科学吗?事实上,穿越时空的假设是建立在一系列假设的逻辑推理假想而已,不是真的:

  1. 假设的时空不可折叠。爱因斯坦假设的时空不是“二维”之面而是“三维”之体,你如何折叠一个“三维”体??

  2. 时空本身就是个假设。爱因斯坦在数学操作中假设时间为另一个空间维度而由此发明了时空的概念。现实中时间只是空间变化的历史,并不是实际的存在,换言之,时间是虚假的意念存在而不是真实的空间存在。

  3. 几何的空间维度本身也是个数学假设,事实上我们一直就生活在一个多维的空间。维度也就是空间的走向,所谓的几何维度实为一个凭空捏造的理念,基于笛卡尔为计算空间点位置的方便而发明的坐标系。维度的定义来自欧几里德几何,零维被定义为占零空间的点、一维占零宽度的线、二维占零厚度的面。现实中有谁真见过不占空间的点、无宽的线和无厚的面??可见,

  4. 几何就是假的,而爱因斯坦的相对论正是以几何为数学基础的理论。

综上所述,艺术上的穿越基于了科学上的多重连环假设,其中没有一环得到过实证。任何没有实证的假设都不是真的、都不靠谱。

其次,除了通过一系列假设而凭空捏造的虫洞,《星际穿越》的另一个科学假设就是黑洞。由于黑洞引力特大,接近黑洞的生命就相对活得特长,与之相应的时间也相对变得特慢,因此远航到黑洞附近的宇航员相对地球而言大大“延长”了生命,他们在黑洞附近活过的几十个小时相当于在地球上的几十年。显然,该剧的科学顾问、理论物理学家Kip Thorne(故意)忘记了计算由于引力增加而引起的宇航员的体重增加,换言之,按剧情接近黑洞,Cooper等的体重起码要增加相当于他在地球体重的好几万倍,那么,剧中的Cooper等如何能轻松地生活和作业而没被自身的体重压死?

最后,当然就是Brand教授几十年解决不了,由Cooper的天才女儿Murph解出的那个万能方程公式,完美诠释了万有引力的奥妙,继而成功地把拣选而数量有限的幸存者带离了末日降临的地球。什么叫万能公式或称万物理论?就是完美结合宏观相对论和微观量子力学以后推演出的全能全智的数学公式,再加用于拯救世界的全善。哲学上,相对论是决定论而量子力学是随机论,祈求两个本质上矛盾的理论实现统一并属实,理论上和实际上的难度相当于论证上帝的存在,科学与神学的完美结合。

好莱坞的科幻实为宗教,现代科学的发展不但无碍宗教,反而为宗教神学提供了更多的假设、更广的假想,因为科学的前身就是古希腊的形而上学,而形而上学与神学共享了同一个超自然的思维。就穿越科幻片而言,我认为2016年的《降临》更有创新性(参见我的回答)。做科学的确需要创新的想象和假设,做神学也一样。如何区别神学和科学、其中再夹个形而上学,正确引导青少年热爱科学、识别神学?这是项技术挑战性很强的教育任务。

没有,星际穿越是最伟大的科幻电影,没有之一

确切的问法应该是该剧有哪些不靠谱的科学假设?与宗教相似,艺术求创新不求论证或实证,没有错误可言,大凡能卖座的艺术和宗教肯定错不了。

该剧力求科学严谨,还请了个理论天体物理学家做技术顾问。天体物理学算得上是一门最有代表性的科学,科学做学问的基本思路就是理论假设,接着对理论进行论证或实证,实际上就是古希腊人发明的形而上学逻辑论证。扫读了下已发表的回答,不妨补充下《星际穿越》的三个最基本的艺术夸张和科学误导,虫洞、黑洞和万能公式。

首先,虫洞是个理论假设,基于爱因斯坦的相对论。相对论推断时空可以弯曲,虫洞就是基于时空弯曲这个推断的进一步假设。理论上在表达相对论时为了视觉方便,“三维”之体的时空往往画成“二维”的面,如图,

剧中科学家Romilly用一张纸和一支笔对虫洞的生成做了个精彩的演示。那张纸代表爱因斯坦的“二维”时空,他先用笔在纸面画上间距分开的两个点,分别代表了前后两个任意的时空,比如,今日十二点正的地球相对一万年前半夜十二点的遥远的某星系某星球。既然面可以假设弯曲,那么面也可以假设折叠。于是,Romilly将纸弯曲并对折,使原来前后分开的两个时空点相互接近甚至接触。他再用笔刺穿了纸上两个点的重叠处,于是虫洞就如此这般奇迹诞生了。换言之,宇航员就像那支笔一样可以穿越时空,或前穿或后穿,如图

你相信上述的科学吗?事实上,穿越时空的假设是建立在一系列假设的逻辑推理假想而已,不是真的:

  1. 假设的时空不可折叠。爱因斯坦假设的时空不是“二维”之面而是“三维”之体,你如何折叠一个“三维”体??

  2. 时空本身就是个假设。爱因斯坦在数学操作中假设时间为另一个空间维度而由此发明了时空的概念。现实中时间只是空间变化的历史,并不是实际的存在,换言之,时间是虚假的意念存在而不是真实的空间存在。

  3. 几何的空间维度本身也是个数学假设,事实上我们一直就生活在一个多维的空间。维度也就是空间的走向,所谓的几何维度实为一个凭空捏造的理念,基于笛卡尔为计算空间点位置的方便而发明的坐标系。维度的定义来自欧几里德几何,零维被定义为占零空间的点、一维占零宽度的线、二维占零厚度的面。现实中有谁真见过不占空间的点、无宽的线和无厚的面??可见,

  4. 几何就是假的,而爱因斯坦的相对论正是以几何为数学基础的理论。

综上所述,艺术上的穿越基于了科学上的多重连环假设,其中没有一环得到过实证。任何没有实证的假设都不是真的、都不靠谱。

其次,除了通过一系列假设而凭空捏造的虫洞,《星际穿越》的另一个科学假设就是黑洞。由于黑洞引力特大,接近黑洞的生命就相对活得特长,与之相应的时间也相对变得特慢,因此远航到黑洞附近的宇航员相对地球而言大大“延长”了生命,他们在黑洞附近活过的几十个小时相当于在地球上的几十年。显然,该剧的科学顾问、理论物理学家Kip Thorne(故意)忘记了计算由于引力增加而引起的宇航员的体重增加,换言之,按剧情接近黑洞,Cooper等的体重起码要增加相当于他在地球体重的好几万倍,那么,剧中的Cooper等如何能轻松地生活和作业而没被自身的体重压死?

最后,当然就是Brand教授几十年解决不了,由Cooper的天才女儿Murph解出的那个万能方程公式,完美诠释了万有引力的奥妙,继而成功地把拣选而数量有限的幸存者带离了末日降临的地球。什么叫万能公式或称万物理论?就是完美结合宏观相对论和微观量子力学以后推演出的全能全智的数学公式,再加用于拯救世界的全善。哲学上,相对论是决定论而量子力学是随机论,祈求两个本质上矛盾的理论实现统一并属实,理论上和实际上的难度相当于论证上帝的存在,科学与神学的完美结合。

好莱坞的科幻实为宗教,现代科学的发展不但无碍宗教,反而为宗教神学提供了更多的假设、更广的假想,因为科学的前身就是古希腊的形而上学,而形而上学与神学共享了同一个超自然的思维。就穿越科幻片而言,我认为2016年的《降临》更有创新性(参见我的回答)。做科学的确需要创新的想象和假设,做神学也一样。如何区别神学和科学、其中再夹个形而上学,正确引导青少年热爱科学、识别神学?这是项技术挑战性很强的教育任务。

在未来某个时间的地球上,气候和环境急剧恶化,地球正面临一场严重的农业灾难,农作物难以种植导致人类的粮食严重紧缺。库珀曾是一位飞行员、工程师,如今这个单身爸爸与一对儿女在一座农场里生活。

就在儿女发现一系列奇怪的征兆之后,库珀受到美国航天局邀请被派往太空执行一个艰巨的任务。

原来,地球已濒临灭亡,人类需要紧急寻找新的居住地。库珀与女科学家艾米莉亚及其他两位科学家、两个机器人一同出发,他们要穿越“虫洞”到另一个空间去找寻有可能让人类居住的星球。

作为拯救人类未来计划的一员,库珀被迫离开深爱的女儿和儿子。一晃许多年过去,库珀的女儿长大后竟然也做了一名太空科学家。在库珀女儿的心里一直有一个念头——也许在另外一个时空,能和父亲再次重逢……

世界在历经极端气候与粮食危机,地球濒临末日之际,一位电机工程师(马修·麦康纳 Matthew McConaughey 饰)与一群专业研究者还有顶尖太空人(安妮·海瑟薇 Anne Hathaway 饰),扛起人类史上最重要的任务,越过已知的银河,在星际间寻找未来出路。同时必须先割舍无法与家人见面的亲情牵绊,在爱与勇气、生存与挑战中,跨越星际拯救人类……慢慢看,这电影还可以


确切的问法应该是该剧有哪些不靠谱的科学假设?与宗教相似,艺术求创新不求论证或实证,没有错误可言,大凡能卖座的艺术和宗教肯定错不了。

该剧力求科学严谨,还请了个理论天体物理学家做技术顾问。天体物理学算得上是一门最有代表性的科学,科学做学问的基本思路就是理论假设,接着对理论进行论证或实证,实际上就是古希腊人发明的形而上学逻辑论证。扫读了下已发表的回答,不妨补充下《星际穿越》的三个最基本的艺术夸张和科学误导,虫洞、黑洞和万能公式。

首先,虫洞是个理论假设,基于爱因斯坦的相对论。相对论推断时空可以弯曲,虫洞就是基于时空弯曲这个推断的进一步假设。理论上在表达相对论时为了视觉方便,“三维”之体的时空往往画成“二维”的面,如图,

剧中科学家Romilly用一张纸和一支笔对虫洞的生成做了个精彩的演示。那张纸代表爱因斯坦的“二维”时空,他先用笔在纸面画上间距分开的两个点,分别代表了前后两个任意的时空,比如,今日十二点正的地球相对一万年前半夜十二点的遥远的某星系某星球。既然面可以假设弯曲,那么面也可以假设折叠。于是,Romilly将纸弯曲并对折,使原来前后分开的两个时空点相互接近甚至接触。他再用笔刺穿了纸上两个点的重叠处,于是虫洞就如此这般奇迹诞生了。换言之,宇航员就像那支笔一样可以穿越时空,或前穿或后穿,如图

你相信上述的科学吗?事实上,穿越时空的假设是建立在一系列假设的逻辑推理假想而已,不是真的:

  1. 假设的时空不可折叠。爱因斯坦假设的时空不是“二维”之面而是“三维”之体,你如何折叠一个“三维”体??

  2. 时空本身就是个假设。爱因斯坦在数学操作中假设时间为另一个空间维度而由此发明了时空的概念。现实中时间只是空间变化的历史,并不是实际的存在,换言之,时间是虚假的意念存在而不是真实的空间存在。

  3. 几何的空间维度本身也是个数学假设,事实上我们一直就生活在一个多维的空间。维度也就是空间的走向,所谓的几何维度实为一个凭空捏造的理念,基于笛卡尔为计算空间点位置的方便而发明的坐标系。维度的定义来自欧几里德几何,零维被定义为占零空间的点、一维占零宽度的线、二维占零厚度的面。现实中有谁真见过不占空间的点、无宽的线和无厚的面??可见,

  4. 几何就是假的,而爱因斯坦的相对论正是以几何为数学基础的理论。

综上所述,艺术上的穿越基于了科学上的多重连环假设,其中没有一环得到过实证。任何没有实证的假设都不是真的、都不靠谱。

其次,除了通过一系列假设而凭空捏造的虫洞,《星际穿越》的另一个科学假设就是黑洞。由于黑洞引力特大,接近黑洞的生命就相对活得特长,与之相应的时间也相对变得特慢,因此远航到黑洞附近的宇航员相对地球而言大大“延长”了生命,他们在黑洞附近活过的几十个小时相当于在地球上的几十年。显然,该剧的科学顾问、理论物理学家Kip Thorne(故意)忘记了计算由于引力增加而引起的宇航员的体重增加,换言之,按剧情接近黑洞,Cooper等的体重起码要增加相当于他在地球体重的好几万倍,那么,剧中的Cooper等如何能轻松地生活和作业而没被自身的体重压死?

最后,当然就是Brand教授几十年解决不了,由Cooper的天才女儿Murph解出的那个万能方程公式,完美诠释了万有引力的奥妙,继而成功地把拣选而数量有限的幸存者带离了末日降临的地球。什么叫万能公式或称万物理论?就是完美结合宏观相对论和微观量子力学以后推演出的全能全智的数学公式,再加用于拯救世界的全善。哲学上,相对论是决定论而量子力学是随机论,祈求两个本质上矛盾的理论实现统一并属实,理论上和实际上的难度相当于论证上帝的存在,科学与神学的完美结合。

好莱坞的科幻实为宗教,现代科学的发展不但无碍宗教,反而为宗教神学提供了更多的假设、更广的假想,因为科学的前身就是古希腊的形而上学,而形而上学与神学共享了同一个超自然的思维。就穿越科幻片而言,我认为2016年的《降临》更有创新性(参见我的回答)。做科学的确需要创新的想象和假设,做神学也一样。如何区别神学和科学、其中再夹个形而上学,正确引导青少年热爱科学、识别神学?这是项技术挑战性很强的教育任务。

这就是我的答案


确切的问法应该是该剧有哪些不靠谱的科学假设?与宗教相似,艺术求创新不求论证或实证,没有错误可言,大凡能卖座的艺术和宗教肯定错不了。

该剧力求科学严谨,还请了个理论天体物理学家做技术顾问。天体物理学算得上是一门最有代表性的科学,科学做学问的基本思路就是理论假设,接着对理论进行论证或实证,实际上就是古希腊人发明的形而上学逻辑论证。扫读了下已发表的回答,不妨补充下《星际穿越》的三个最基本的艺术夸张和科学误导,虫洞、黑洞和万能公式。

首先,虫洞是个理论假设,基于爱因斯坦的相对论。相对论推断时空可以弯曲,虫洞就是基于时空弯曲这个推断的进一步假设。理论上在表达相对论时为了视觉方便,“三维”之体的时空往往画成“二维”的面,如图,

剧中科学家Romilly用一张纸和一支笔对虫洞的生成做了个精彩的演示。那张纸代表爱因斯坦的“二维”时空,他先用笔在纸面画上间距分开的两个点,分别代表了前后两个任意的时空,比如,今日十二点正的地球相对一万年前半夜十二点的遥远的某星系某星球。既然面可以假设弯曲,那么面也可以假设折叠。于是,Romilly将纸弯曲并对折,使原来前后分开的两个时空点相互接近甚至接触。他再用笔刺穿了纸上两个点的重叠处,于是虫洞就如此这般奇迹诞生了。换言之,宇航员就像那支笔一样可以穿越时空,或前穿或后穿,如图

你相信上述的科学吗?事实上,穿越时空的假设是建立在一系列假设的逻辑推理假想而已,不是真的:

  1. 假设的时空不可折叠。爱因斯坦假设的时空不是“二维”之面而是“三维”之体,你如何折叠一个“三维”体??

  2. 时空本身就是个假设。爱因斯坦在数学操作中假设时间为另一个空间维度而由此发明了时空的概念。现实中时间只是空间变化的历史,并不是实际的存在,换言之,时间是虚假的意念存在而不是真实的空间存在。

  3. 几何的空间维度本身也是个数学假设,事实上我们一直就生活在一个多维的空间。维度也就是空间的走向,所谓的几何维度实为一个凭空捏造的理念,基于笛卡尔为计算空间点位置的方便而发明的坐标系。维度的定义来自欧几里德几何,零维被定义为占零空间的点、一维占零宽度的线、二维占零厚度的面。现实中有谁真见过不占空间的点、无宽的线和无厚的面??可见,

  4. 几何就是假的,而爱因斯坦的相对论正是以几何为数学基础的理论。

综上所述,艺术上的穿越基于了科学上的多重连环假设,其中没有一环得到过实证。任何没有实证的假设都不是真的、都不靠谱。

其次,除了通过一系列假设而凭空捏造的虫洞,《星际穿越》的另一个科学假设就是黑洞。由于黑洞引力特大,接近黑洞的生命就相对活得特长,与之相应的时间也相对变得特慢,因此远航到黑洞附近的宇航员相对地球而言大大“延长”了生命,他们在黑洞附近活过的几十个小时相当于在地球上的几十年。显然,该剧的科学顾问、理论物理学家Kip Thorne(故意)忘记了计算由于引力增加而引起的宇航员的体重增加,换言之,按剧情接近黑洞,Cooper等的体重起码要增加相当于他在地球体重的好几万倍,那么,剧中的Cooper等如何能轻松地生活和作业而没被自身的体重压死?

最后,当然就是Brand教授几十年解决不了,由Cooper的天才女儿Murph解出的那个万能方程公式,完美诠释了万有引力的奥妙,继而成功地把拣选而数量有限的幸存者带离了末日降临的地球。什么叫万能公式或称万物理论?就是完美结合宏观相对论和微观量子力学以后推演出的全能全智的数学公式,再加用于拯救世界的全善。哲学上,相对论是决定论而量子力学是随机论,祈求两个本质上矛盾的理论实现统一并属实,理论上和实际上的难度相当于论证上帝的存在,科学与神学的完美结合。

好莱坞的科幻实为宗教,现代科学的发展不但无碍宗教,反而为宗教神学提供了更多的假设、更广的假想,因为科学的前身就是古希腊的形而上学,而形而上学与神学共享了同一个超自然的思维。就穿越科幻片而言,我认为2016年的《降临》更有创新性(参见我的回答)。做科学的确需要创新的想象和假设,做神学也一样。如何区别神学和科学、其中再夹个形而上学,正确引导青少年热爱科学、识别神学?这是项技术挑战性很强的教育任务。

讨论这个没意思,还不如来说说电影里面的金手指,那个“他们”到底是谁?这帮人很扯淡,在木星还是火星上开个稳定的虫洞,还能把人丢进思维空间再抓出来,而且要准确地抓出来后丢到空间站附近,有这能耐说治疗不了地球的枯萎病我是不相信的。这跟神和蚂蚁的传说完全不是一个等级的故事。

确切的问法应该是该剧有哪些不靠谱的科学假设?与宗教相似,艺术求创新不求论证或实证,没有错误可言,大凡能卖座的艺术和宗教肯定错不了。

该剧力求科学严谨,还请了个理论天体物理学家做技术顾问。天体物理学算得上是一门最有代表性的科学,科学做学问的基本思路就是理论假设,接着对理论进行论证或实证,实际上就是古希腊人发明的形而上学逻辑论证。扫读了下已发表的回答,不妨补充下《星际穿越》的三个最基本的艺术夸张和科学误导,虫洞、黑洞和万能公式。

首先,虫洞是个理论假设,基于爱因斯坦的相对论。相对论推断时空可以弯曲,虫洞就是基于时空弯曲这个推断的进一步假设。理论上在表达相对论时为了视觉方便,“三维”之体的时空往往画成“二维”的面,如图,

剧中科学家Romilly用一张纸和一支笔对虫洞的生成做了个精彩的演示。那张纸代表爱因斯坦的“二维”时空,他先用笔在纸面画上间距分开的两个点,分别代表了前后两个任意的时空,比如,今日十二点正的地球相对一万年前半夜十二点的遥远的某星系某星球。既然面可以假设弯曲,那么面也可以假设折叠。于是,Romilly将纸弯曲并对折,使原来前后分开的两个时空点相互接近甚至接触。他再用笔刺穿了纸上两个点的重叠处,于是虫洞就如此这般奇迹诞生了。换言之,宇航员就像那支笔一样可以穿越时空,或前穿或后穿,如图

你相信上述的科学吗?事实上,穿越时空的假设是建立在一系列假设的逻辑推理假想而已,不是真的:

  1. 假设的时空不可折叠。爱因斯坦假设的时空不是“二维”之面而是“三维”之体,你如何折叠一个“三维”体??

  2. 时空本身就是个假设。爱因斯坦在数学操作中假设时间为另一个空间维度而由此发明了时空的概念。现实中时间只是空间变化的历史,并不是实际的存在,换言之,时间是虚假的意念存在而不是真实的空间存在。

  3. 几何的空间维度本身也是个数学假设,事实上我们一直就生活在一个多维的空间。维度也就是空间的走向,所谓的几何维度实为一个凭空捏造的理念,基于笛卡尔为计算空间点位置的方便而发明的坐标系。维度的定义来自欧几里德几何,零维被定义为占零空间的点、一维占零宽度的线、二维占零厚度的面。现实中有谁真见过不占空间的点、无宽的线和无厚的面??可见,

  4. 几何就是假的,而爱因斯坦的相对论正是以几何为数学基础的理论。

综上所述,艺术上的穿越基于了科学上的多重连环假设,其中没有一环得到过实证。任何没有实证的假设都不是真的、都不靠谱。

其次,除了通过一系列假设而凭空捏造的虫洞,《星际穿越》的另一个科学假设就是黑洞。由于黑洞引力特大,接近黑洞的生命就相对活得特长,与之相应的时间也相对变得特慢,因此远航到黑洞附近的宇航员相对地球而言大大“延长”了生命,他们在黑洞附近活过的几十个小时相当于在地球上的几十年。显然,该剧的科学顾问、理论物理学家Kip Thorne(故意)忘记了计算由于引力增加而引起的宇航员的体重增加,换言之,按剧情接近黑洞,Cooper等的体重起码要增加相当于他在地球体重的好几万倍,那么,剧中的Cooper等如何能轻松地生活和作业而没被自身的体重压死?

最后,当然就是Brand教授几十年解决不了,由Cooper的天才女儿Murph解出的那个万能方程公式,完美诠释了万有引力的奥妙,继而成功地把拣选而数量有限的幸存者带离了末日降临的地球。什么叫万能公式或称万物理论?就是完美结合宏观相对论和微观量子力学以后推演出的全能全智的数学公式,再加用于拯救世界的全善。哲学上,相对论是决定论而量子力学是随机论,祈求两个本质上矛盾的理论实现统一并属实,理论上和实际上的难度相当于论证上帝的存在,科学与神学的完美结合。

好莱坞的科幻实为宗教,现代科学的发展不但无碍宗教,反而为宗教神学提供了更多的假设、更广的假想,因为科学的前身就是古希腊的形而上学,而形而上学与神学共享了同一个超自然的思维。就穿越科幻片而言,我认为2016年的《降临》更有创新性(参见我的回答)。做科学的确需要创新的想象和假设,做神学也一样。如何区别神学和科学、其中再夹个形而上学,正确引导青少年热爱科学、识别神学?这是项技术挑战性很强的教育任务。

北大教授说:我拒绝回答,那是我的权利!

确切的问法应该是该剧有哪些不靠谱的科学假设?与宗教相似,艺术求创新不求论证或实证,没有错误可言,大凡能卖座的艺术和宗教肯定错不了。

该剧力求科学严谨,还请了个理论天体物理学家做技术顾问。天体物理学算得上是一门最有代表性的科学,科学做学问的基本思路就是理论假设,接着对理论进行论证或实证,实际上就是古希腊人发明的形而上学逻辑论证。扫读了下已发表的回答,不妨补充下《星际穿越》的三个最基本的艺术夸张和科学误导,虫洞、黑洞和万能公式。

首先,虫洞是个理论假设,基于爱因斯坦的相对论。相对论推断时空可以弯曲,虫洞就是基于时空弯曲这个推断的进一步假设。理论上在表达相对论时为了视觉方便,“三维”之体的时空往往画成“二维”的面,如图,

剧中科学家Romilly用一张纸和一支笔对虫洞的生成做了个精彩的演示。那张纸代表爱因斯坦的“二维”时空,他先用笔在纸面画上间距分开的两个点,分别代表了前后两个任意的时空,比如,今日十二点正的地球相对一万年前半夜十二点的遥远的某星系某星球。既然面可以假设弯曲,那么面也可以假设折叠。于是,Romilly将纸弯曲并对折,使原来前后分开的两个时空点相互接近甚至接触。他再用笔刺穿了纸上两个点的重叠处,于是虫洞就如此这般奇迹诞生了。换言之,宇航员就像那支笔一样可以穿越时空,或前穿或后穿,如图

你相信上述的科学吗?事实上,穿越时空的假设是建立在一系列假设的逻辑推理假想而已,不是真的:

  1. 假设的时空不可折叠。爱因斯坦假设的时空不是“二维”之面而是“三维”之体,你如何折叠一个“三维”体??

  2. 时空本身就是个假设。爱因斯坦在数学操作中假设时间为另一个空间维度而由此发明了时空的概念。现实中时间只是空间变化的历史,并不是实际的存在,换言之,时间是虚假的意念存在而不是真实的空间存在。

  3. 几何的空间维度本身也是个数学假设,事实上我们一直就生活在一个多维的空间。维度也就是空间的走向,所谓的几何维度实为一个凭空捏造的理念,基于笛卡尔为计算空间点位置的方便而发明的坐标系。维度的定义来自欧几里德几何,零维被定义为占零空间的点、一维占零宽度的线、二维占零厚度的面。现实中有谁真见过不占空间的点、无宽的线和无厚的面??可见,

  4. 几何就是假的,而爱因斯坦的相对论正是以几何为数学基础的理论。

综上所述,艺术上的穿越基于了科学上的多重连环假设,其中没有一环得到过实证。任何没有实证的假设都不是真的、都不靠谱。

其次,除了通过一系列假设而凭空捏造的虫洞,《星际穿越》的另一个科学假设就是黑洞。由于黑洞引力特大,接近黑洞的生命就相对活得特长,与之相应的时间也相对变得特慢,因此远航到黑洞附近的宇航员相对地球而言大大“延长”了生命,他们在黑洞附近活过的几十个小时相当于在地球上的几十年。显然,该剧的科学顾问、理论物理学家Kip Thorne(故意)忘记了计算由于引力增加而引起的宇航员的体重增加,换言之,按剧情接近黑洞,Cooper等的体重起码要增加相当于他在地球体重的好几万倍,那么,剧中的Cooper等如何能轻松地生活和作业而没被自身的体重压死?

最后,当然就是Brand教授几十年解决不了,由Cooper的天才女儿Murph解出的那个万能方程公式,完美诠释了万有引力的奥妙,继而成功地把拣选而数量有限的幸存者带离了末日降临的地球。什么叫万能公式或称万物理论?就是完美结合宏观相对论和微观量子力学以后推演出的全能全智的数学公式,再加用于拯救世界的全善。哲学上,相对论是决定论而量子力学是随机论,祈求两个本质上矛盾的理论实现统一并属实,理论上和实际上的难度相当于论证上帝的存在,科学与神学的完美结合。

好莱坞的科幻实为宗教,现代科学的发展不但无碍宗教,反而为宗教神学提供了更多的假设、更广的假想,因为科学的前身就是古希腊的形而上学,而形而上学与神学共享了同一个超自然的思维。就穿越科幻片而言,我认为2016年的《降临》更有创新性(参见我的回答)。做科学的确需要创新的想象和假设,做神学也一样。如何区别神学和科学、其中再夹个形而上学,正确引导青少年热爱科学、识别神学?这是项技术挑战性很强的教育任务。

简单的说,《星际穿越》主要讲的就是,人类面对日益恶化的环境,于是准备寻找其他适宜居住的星球,通过木星旁的一个虫洞,人类穿越到距离地球很远的一个星系,在对于一个又一个的星球确认不适合居住后,被未来的人类传输了“公式”,解开了困扰人类的难题,于是人类成功的度过了这次难关。

如果说剧情的话,主要在叛变、在超立方体内传送知识这两处剧情性比较强,在别的电影情节上,主要是通过人们对于宇宙的极限思维,打造了非常棒的视觉效果。

例如因为巨大的潮汐力而产生的上百米的高浪,在超立方体内类似于“无限”的场景,都让人无比的震撼。

并且在剧情的最后,年轻依旧的库珀,来到自己已经白发苍苍的女儿面前,电影为我们打造了因为相对论关系而造成的时间偏差的场景,让我们对于科学的认知,无不感到惊奇。


我是希言,欢迎关注我了解更多科幻电影资讯,谢谢。

确切的问法应该是该剧有哪些不靠谱的科学假设?与宗教相似,艺术求创新不求论证或实证,没有错误可言,大凡能卖座的艺术和宗教肯定错不了。

该剧力求科学严谨,还请了个理论天体物理学家做技术顾问。天体物理学算得上是一门最有代表性的科学,科学做学问的基本思路就是理论假设,接着对理论进行论证或实证,实际上就是古希腊人发明的形而上学逻辑论证。扫读了下已发表的回答,不妨补充下《星际穿越》的三个最基本的艺术夸张和科学误导,虫洞、黑洞和万能公式。

首先,虫洞是个理论假设,基于爱因斯坦的相对论。相对论推断时空可以弯曲,虫洞就是基于时空弯曲这个推断的进一步假设。理论上在表达相对论时为了视觉方便,“三维”之体的时空往往画成“二维”的面,如图,

剧中科学家Romilly用一张纸和一支笔对虫洞的生成做了个精彩的演示。那张纸代表爱因斯坦的“二维”时空,他先用笔在纸面画上间距分开的两个点,分别代表了前后两个任意的时空,比如,今日十二点正的地球相对一万年前半夜十二点的遥远的某星系某星球。既然面可以假设弯曲,那么面也可以假设折叠。于是,Romilly将纸弯曲并对折,使原来前后分开的两个时空点相互接近甚至接触。他再用笔刺穿了纸上两个点的重叠处,于是虫洞就如此这般奇迹诞生了。换言之,宇航员就像那支笔一样可以穿越时空,或前穿或后穿,如图

你相信上述的科学吗?事实上,穿越时空的假设是建立在一系列假设的逻辑推理假想而已,不是真的:

  1. 假设的时空不可折叠。爱因斯坦假设的时空不是“二维”之面而是“三维”之体,你如何折叠一个“三维”体??

  2. 时空本身就是个假设。爱因斯坦在数学操作中假设时间为另一个空间维度而由此发明了时空的概念。现实中时间只是空间变化的历史,并不是实际的存在,换言之,时间是虚假的意念存在而不是真实的空间存在。

  3. 几何的空间维度本身也是个数学假设,事实上我们一直就生活在一个多维的空间。维度也就是空间的走向,所谓的几何维度实为一个凭空捏造的理念,基于笛卡尔为计算空间点位置的方便而发明的坐标系。维度的定义来自欧几里德几何,零维被定义为占零空间的点、一维占零宽度的线、二维占零厚度的面。现实中有谁真见过不占空间的点、无宽的线和无厚的面??可见,

  4. 几何就是假的,而爱因斯坦的相对论正是以几何为数学基础的理论。

综上所述,艺术上的穿越基于了科学上的多重连环假设,其中没有一环得到过实证。任何没有实证的假设都不是真的、都不靠谱。

其次,除了通过一系列假设而凭空捏造的虫洞,《星际穿越》的另一个科学假设就是黑洞。由于黑洞引力特大,接近黑洞的生命就相对活得特长,与之相应的时间也相对变得特慢,因此远航到黑洞附近的宇航员相对地球而言大大“延长”了生命,他们在黑洞附近活过的几十个小时相当于在地球上的几十年。显然,该剧的科学顾问、理论物理学家Kip Thorne(故意)忘记了计算由于引力增加而引起的宇航员的体重增加,换言之,按剧情接近黑洞,Cooper等的体重起码要增加相当于他在地球体重的好几万倍,那么,剧中的Cooper等如何能轻松地生活和作业而没被自身的体重压死?

最后,当然就是Brand教授几十年解决不了,由Cooper的天才女儿Murph解出的那个万能方程公式,完美诠释了万有引力的奥妙,继而成功地把拣选而数量有限的幸存者带离了末日降临的地球。什么叫万能公式或称万物理论?就是完美结合宏观相对论和微观量子力学以后推演出的全能全智的数学公式,再加用于拯救世界的全善。哲学上,相对论是决定论而量子力学是随机论,祈求两个本质上矛盾的理论实现统一并属实,理论上和实际上的难度相当于论证上帝的存在,科学与神学的完美结合。

好莱坞的科幻实为宗教,现代科学的发展不但无碍宗教,反而为宗教神学提供了更多的假设、更广的假想,因为科学的前身就是古希腊的形而上学,而形而上学与神学共享了同一个超自然的思维。就穿越科幻片而言,我认为2016年的《降临》更有创新性(参见我的回答)。做科学的确需要创新的想象和假设,做神学也一样。如何区别神学和科学、其中再夹个形而上学,正确引导青少年热爱科学、识别神学?这是项技术挑战性很强的教育任务。

简单的说,《星际穿越》主要讲的就是,人类面对日益恶化的环境,于是准备寻找其他适宜居住的星球,通过木星旁的一个虫洞,人类穿越到距离地球很远的一个星系,在对于一个又一个的星球确认不适合居住后,被未来的人类传输了“公式”,解开了困扰人类的难题,于是人类成功的度过了这次难关。

如果说剧情的话,主要在叛变、在超立方体内传送知识这两处剧情性比较强,在别的电影情节上,主要是通过人们对于宇宙的极限思维,打造了非常棒的视觉效果。

例如因为巨大的潮汐力而产生的上百米的高浪,在超立方体内类似于“无限”的场景,都让人无比的震撼。

并且在剧情的最后,年轻依旧的库珀,来到自己已经白发苍苍的女儿面前,电影为我们打造了因为相对论关系而造成的时间偏差的场景,让我们对于科学的认知,无不感到惊奇。


我是希言,欢迎关注我了解更多科幻电影资讯,谢谢。

确切的问法应该是该剧有哪些不靠谱的科学假设?与宗教相似,艺术求创新不求论证或实证,没有错误可言,大凡能卖座的艺术和宗教肯定错不了。

该剧力求科学严谨,还请了个理论天体物理学家做技术顾问。天体物理学算得上是一门最有代表性的科学,科学做学问的基本思路就是理论假设,接着对理论进行论证或实证,实际上就是古希腊人发明的形而上学逻辑论证。扫读了下已发表的回答,不妨补充下《星际穿越》的三个最基本的艺术夸张和科学误导,虫洞、黑洞和万能公式。

首先,虫洞是个理论假设,基于爱因斯坦的相对论。相对论推断时空可以弯曲,虫洞就是基于时空弯曲这个推断的进一步假设。理论上在表达相对论时为了视觉方便,“三维”之体的时空往往画成“二维”的面,如图,

剧中科学家Romilly用一张纸和一支笔对虫洞的生成做了个精彩的演示。那张纸代表爱因斯坦的“二维”时空,他先用笔在纸面画上间距分开的两个点,分别代表了前后两个任意的时空,比如,今日十二点正的地球相对一万年前半夜十二点的遥远的某星系某星球。既然面可以假设弯曲,那么面也可以假设折叠。于是,Romilly将纸弯曲并对折,使原来前后分开的两个时空点相互接近甚至接触。他再用笔刺穿了纸上两个点的重叠处,于是虫洞就如此这般奇迹诞生了。换言之,宇航员就像那支笔一样可以穿越时空,或前穿或后穿,如图

你相信上述的科学吗?事实上,穿越时空的假设是建立在一系列假设的逻辑推理假想而已,不是真的:

  1. 假设的时空不可折叠。爱因斯坦假设的时空不是“二维”之面而是“三维”之体,你如何折叠一个“三维”体??

  2. 时空本身就是个假设。爱因斯坦在数学操作中假设时间为另一个空间维度而由此发明了时空的概念。现实中时间只是空间变化的历史,并不是实际的存在,换言之,时间是虚假的意念存在而不是真实的空间存在。

  3. 几何的空间维度本身也是个数学假设,事实上我们一直就生活在一个多维的空间。维度也就是空间的走向,所谓的几何维度实为一个凭空捏造的理念,基于笛卡尔为计算空间点位置的方便而发明的坐标系。维度的定义来自欧几里德几何,零维被定义为占零空间的点、一维占零宽度的线、二维占零厚度的面。现实中有谁真见过不占空间的点、无宽的线和无厚的面??可见,

  4. 几何就是假的,而爱因斯坦的相对论正是以几何为数学基础的理论。

综上所述,艺术上的穿越基于了科学上的多重连环假设,其中没有一环得到过实证。任何没有实证的假设都不是真的、都不靠谱。

其次,除了通过一系列假设而凭空捏造的虫洞,《星际穿越》的另一个科学假设就是黑洞。由于黑洞引力特大,接近黑洞的生命就相对活得特长,与之相应的时间也相对变得特慢,因此远航到黑洞附近的宇航员相对地球而言大大“延长”了生命,他们在黑洞附近活过的几十个小时相当于在地球上的几十年。显然,该剧的科学顾问、理论物理学家Kip Thorne(故意)忘记了计算由于引力增加而引起的宇航员的体重增加,换言之,按剧情接近黑洞,Cooper等的体重起码要增加相当于他在地球体重的好几万倍,那么,剧中的Cooper等如何能轻松地生活和作业而没被自身的体重压死?

最后,当然就是Brand教授几十年解决不了,由Cooper的天才女儿Murph解出的那个万能方程公式,完美诠释了万有引力的奥妙,继而成功地把拣选而数量有限的幸存者带离了末日降临的地球。什么叫万能公式或称万物理论?就是完美结合宏观相对论和微观量子力学以后推演出的全能全智的数学公式,再加用于拯救世界的全善。哲学上,相对论是决定论而量子力学是随机论,祈求两个本质上矛盾的理论实现统一并属实,理论上和实际上的难度相当于论证上帝的存在,科学与神学的完美结合。

好莱坞的科幻实为宗教,现代科学的发展不但无碍宗教,反而为宗教神学提供了更多的假设、更广的假想,因为科学的前身就是古希腊的形而上学,而形而上学与神学共享了同一个超自然的思维。就穿越科幻片而言,我认为2016年的《降临》更有创新性(参见我的回答)。做科学的确需要创新的想象和假设,做神学也一样。如何区别神学和科学、其中再夹个形而上学,正确引导青少年热爱科学、识别神学?这是项技术挑战性很强的教育任务。

没有,星际穿越是最伟大的科幻电影,没有之一

确切的问法应该是该剧有哪些不靠谱的科学假设?与宗教相似,艺术求创新不求论证或实证,没有错误可言,大凡能卖座的艺术和宗教肯定错不了。

该剧力求科学严谨,还请了个理论天体物理学家做技术顾问。天体物理学算得上是一门最有代表性的科学,科学做学问的基本思路就是理论假设,接着对理论进行论证或实证,实际上就是古希腊人发明的形而上学逻辑论证。扫读了下已发表的回答,不妨补充下《星际穿越》的三个最基本的艺术夸张和科学误导,虫洞、黑洞和万能公式。

首先,虫洞是个理论假设,基于爱因斯坦的相对论。相对论推断时空可以弯曲,虫洞就是基于时空弯曲这个推断的进一步假设。理论上在表达相对论时为了视觉方便,“三维”之体的时空往往画成“二维”的面,如图,

剧中科学家Romilly用一张纸和一支笔对虫洞的生成做了个精彩的演示。那张纸代表爱因斯坦的“二维”时空,他先用笔在纸面画上间距分开的两个点,分别代表了前后两个任意的时空,比如,今日十二点正的地球相对一万年前半夜十二点的遥远的某星系某星球。既然面可以假设弯曲,那么面也可以假设折叠。于是,Romilly将纸弯曲并对折,使原来前后分开的两个时空点相互接近甚至接触。他再用笔刺穿了纸上两个点的重叠处,于是虫洞就如此这般奇迹诞生了。换言之,宇航员就像那支笔一样可以穿越时空,或前穿或后穿,如图

你相信上述的科学吗?事实上,穿越时空的假设是建立在一系列假设的逻辑推理假想而已,不是真的:

  1. 假设的时空不可折叠。爱因斯坦假设的时空不是“二维”之面而是“三维”之体,你如何折叠一个“三维”体??

  2. 时空本身就是个假设。爱因斯坦在数学操作中假设时间为另一个空间维度而由此发明了时空的概念。现实中时间只是空间变化的历史,并不是实际的存在,换言之,时间是虚假的意念存在而不是真实的空间存在。

  3. 几何的空间维度本身也是个数学假设,事实上我们一直就生活在一个多维的空间。维度也就是空间的走向,所谓的几何维度实为一个凭空捏造的理念,基于笛卡尔为计算空间点位置的方便而发明的坐标系。维度的定义来自欧几里德几何,零维被定义为占零空间的点、一维占零宽度的线、二维占零厚度的面。现实中有谁真见过不占空间的点、无宽的线和无厚的面??可见,

  4. 几何就是假的,而爱因斯坦的相对论正是以几何为数学基础的理论。

综上所述,艺术上的穿越基于了科学上的多重连环假设,其中没有一环得到过实证。任何没有实证的假设都不是真的、都不靠谱。

其次,除了通过一系列假设而凭空捏造的虫洞,《星际穿越》的另一个科学假设就是黑洞。由于黑洞引力特大,接近黑洞的生命就相对活得特长,与之相应的时间也相对变得特慢,因此远航到黑洞附近的宇航员相对地球而言大大“延长”了生命,他们在黑洞附近活过的几十个小时相当于在地球上的几十年。显然,该剧的科学顾问、理论物理学家Kip Thorne(故意)忘记了计算由于引力增加而引起的宇航员的体重增加,换言之,按剧情接近黑洞,Cooper等的体重起码要增加相当于他在地球体重的好几万倍,那么,剧中的Cooper等如何能轻松地生活和作业而没被自身的体重压死?

最后,当然就是Brand教授几十年解决不了,由Cooper的天才女儿Murph解出的那个万能方程公式,完美诠释了万有引力的奥妙,继而成功地把拣选而数量有限的幸存者带离了末日降临的地球。什么叫万能公式或称万物理论?就是完美结合宏观相对论和微观量子力学以后推演出的全能全智的数学公式,再加用于拯救世界的全善。哲学上,相对论是决定论而量子力学是随机论,祈求两个本质上矛盾的理论实现统一并属实,理论上和实际上的难度相当于论证上帝的存在,科学与神学的完美结合。

好莱坞的科幻实为宗教,现代科学的发展不但无碍宗教,反而为宗教神学提供了更多的假设、更广的假想,因为科学的前身就是古希腊的形而上学,而形而上学与神学共享了同一个超自然的思维。就穿越科幻片而言,我认为2016年的《降临》更有创新性(参见我的回答)。做科学的确需要创新的想象和假设,做神学也一样。如何区别神学和科学、其中再夹个形而上学,正确引导青少年热爱科学、识别神学?这是项技术挑战性很强的教育任务。

在未来某个时间的地球上,气候和环境急剧恶化,地球正面临一场严重的农业灾难,农作物难以种植导致人类的粮食严重紧缺。库珀曾是一位飞行员、工程师,如今这个单身爸爸与一对儿女在一座农场里生活。

就在儿女发现一系列奇怪的征兆之后,库珀受到美国航天局邀请被派往太空执行一个艰巨的任务。

原来,地球已濒临灭亡,人类需要紧急寻找新的居住地。库珀与女科学家艾米莉亚及其他两位科学家、两个机器人一同出发,他们要穿越“虫洞”到另一个空间去找寻有可能让人类居住的星球。

作为拯救人类未来计划的一员,库珀被迫离开深爱的女儿和儿子。一晃许多年过去,库珀的女儿长大后竟然也做了一名太空科学家。在库珀女儿的心里一直有一个念头——也许在另外一个时空,能和父亲再次重逢……

世界在历经极端气候与粮食危机,地球濒临末日之际,一位电机工程师(马修·麦康纳 Matthew McConaughey 饰)与一群专业研究者还有顶尖太空人(安妮·海瑟薇 Anne Hathaway 饰),扛起人类史上最重要的任务,越过已知的银河,在星际间寻找未来出路。同时必须先割舍无法与家人见面的亲情牵绊,在爱与勇气、生存与挑战中,跨越星际拯救人类……慢慢看,这电影还可以


确切的问法应该是该剧有哪些不靠谱的科学假设?与宗教相似,艺术求创新不求论证或实证,没有错误可言,大凡能卖座的艺术和宗教肯定错不了。

该剧力求科学严谨,还请了个理论天体物理学家做技术顾问。天体物理学算得上是一门最有代表性的科学,科学做学问的基本思路就是理论假设,接着对理论进行论证或实证,实际上就是古希腊人发明的形而上学逻辑论证。扫读了下已发表的回答,不妨补充下《星际穿越》的三个最基本的艺术夸张和科学误导,虫洞、黑洞和万能公式。

首先,虫洞是个理论假设,基于爱因斯坦的相对论。相对论推断时空可以弯曲,虫洞就是基于时空弯曲这个推断的进一步假设。理论上在表达相对论时为了视觉方便,“三维”之体的时空往往画成“二维”的面,如图,

剧中科学家Romilly用一张纸和一支笔对虫洞的生成做了个精彩的演示。那张纸代表爱因斯坦的“二维”时空,他先用笔在纸面画上间距分开的两个点,分别代表了前后两个任意的时空,比如,今日十二点正的地球相对一万年前半夜十二点的遥远的某星系某星球。既然面可以假设弯曲,那么面也可以假设折叠。于是,Romilly将纸弯曲并对折,使原来前后分开的两个时空点相互接近甚至接触。他再用笔刺穿了纸上两个点的重叠处,于是虫洞就如此这般奇迹诞生了。换言之,宇航员就像那支笔一样可以穿越时空,或前穿或后穿,如图

你相信上述的科学吗?事实上,穿越时空的假设是建立在一系列假设的逻辑推理假想而已,不是真的:

  1. 假设的时空不可折叠。爱因斯坦假设的时空不是“二维”之面而是“三维”之体,你如何折叠一个“三维”体??

  2. 时空本身就是个假设。爱因斯坦在数学操作中假设时间为另一个空间维度而由此发明了时空的概念。现实中时间只是空间变化的历史,并不是实际的存在,换言之,时间是虚假的意念存在而不是真实的空间存在。

  3. 几何的空间维度本身也是个数学假设,事实上我们一直就生活在一个多维的空间。维度也就是空间的走向,所谓的几何维度实为一个凭空捏造的理念,基于笛卡尔为计算空间点位置的方便而发明的坐标系。维度的定义来自欧几里德几何,零维被定义为占零空间的点、一维占零宽度的线、二维占零厚度的面。现实中有谁真见过不占空间的点、无宽的线和无厚的面??可见,

  4. 几何就是假的,而爱因斯坦的相对论正是以几何为数学基础的理论。

综上所述,艺术上的穿越基于了科学上的多重连环假设,其中没有一环得到过实证。任何没有实证的假设都不是真的、都不靠谱。

其次,除了通过一系列假设而凭空捏造的虫洞,《星际穿越》的另一个科学假设就是黑洞。由于黑洞引力特大,接近黑洞的生命就相对活得特长,与之相应的时间也相对变得特慢,因此远航到黑洞附近的宇航员相对地球而言大大“延长”了生命,他们在黑洞附近活过的几十个小时相当于在地球上的几十年。显然,该剧的科学顾问、理论物理学家Kip Thorne(故意)忘记了计算由于引力增加而引起的宇航员的体重增加,换言之,按剧情接近黑洞,Cooper等的体重起码要增加相当于他在地球体重的好几万倍,那么,剧中的Cooper等如何能轻松地生活和作业而没被自身的体重压死?

最后,当然就是Brand教授几十年解决不了,由Cooper的天才女儿Murph解出的那个万能方程公式,完美诠释了万有引力的奥妙,继而成功地把拣选而数量有限的幸存者带离了末日降临的地球。什么叫万能公式或称万物理论?就是完美结合宏观相对论和微观量子力学以后推演出的全能全智的数学公式,再加用于拯救世界的全善。哲学上,相对论是决定论而量子力学是随机论,祈求两个本质上矛盾的理论实现统一并属实,理论上和实际上的难度相当于论证上帝的存在,科学与神学的完美结合。

好莱坞的科幻实为宗教,现代科学的发展不但无碍宗教,反而为宗教神学提供了更多的假设、更广的假想,因为科学的前身就是古希腊的形而上学,而形而上学与神学共享了同一个超自然的思维。就穿越科幻片而言,我认为2016年的《降临》更有创新性(参见我的回答)。做科学的确需要创新的想象和假设,做神学也一样。如何区别神学和科学、其中再夹个形而上学,正确引导青少年热爱科学、识别神学?这是项技术挑战性很强的教育任务。

这就是我的答案


确切的问法应该是该剧有哪些不靠谱的科学假设?与宗教相似,艺术求创新不求论证或实证,没有错误可言,大凡能卖座的艺术和宗教肯定错不了。

该剧力求科学严谨,还请了个理论天体物理学家做技术顾问。天体物理学算得上是一门最有代表性的科学,科学做学问的基本思路就是理论假设,接着对理论进行论证或实证,实际上就是古希腊人发明的形而上学逻辑论证。扫读了下已发表的回答,不妨补充下《星际穿越》的三个最基本的艺术夸张和科学误导,虫洞、黑洞和万能公式。

首先,虫洞是个理论假设,基于爱因斯坦的相对论。相对论推断时空可以弯曲,虫洞就是基于时空弯曲这个推断的进一步假设。理论上在表达相对论时为了视觉方便,“三维”之体的时空往往画成“二维”的面,如图,

剧中科学家Romilly用一张纸和一支笔对虫洞的生成做了个精彩的演示。那张纸代表爱因斯坦的“二维”时空,他先用笔在纸面画上间距分开的两个点,分别代表了前后两个任意的时空,比如,今日十二点正的地球相对一万年前半夜十二点的遥远的某星系某星球。既然面可以假设弯曲,那么面也可以假设折叠。于是,Romilly将纸弯曲并对折,使原来前后分开的两个时空点相互接近甚至接触。他再用笔刺穿了纸上两个点的重叠处,于是虫洞就如此这般奇迹诞生了。换言之,宇航员就像那支笔一样可以穿越时空,或前穿或后穿,如图

你相信上述的科学吗?事实上,穿越时空的假设是建立在一系列假设的逻辑推理假想而已,不是真的:

  1. 假设的时空不可折叠。爱因斯坦假设的时空不是“二维”之面而是“三维”之体,你如何折叠一个“三维”体??

  2. 时空本身就是个假设。爱因斯坦在数学操作中假设时间为另一个空间维度而由此发明了时空的概念。现实中时间只是空间变化的历史,并不是实际的存在,换言之,时间是虚假的意念存在而不是真实的空间存在。

  3. 几何的空间维度本身也是个数学假设,事实上我们一直就生活在一个多维的空间。维度也就是空间的走向,所谓的几何维度实为一个凭空捏造的理念,基于笛卡尔为计算空间点位置的方便而发明的坐标系。维度的定义来自欧几里德几何,零维被定义为占零空间的点、一维占零宽度的线、二维占零厚度的面。现实中有谁真见过不占空间的点、无宽的线和无厚的面??可见,

  4. 几何就是假的,而爱因斯坦的相对论正是以几何为数学基础的理论。

综上所述,艺术上的穿越基于了科学上的多重连环假设,其中没有一环得到过实证。任何没有实证的假设都不是真的、都不靠谱。

其次,除了通过一系列假设而凭空捏造的虫洞,《星际穿越》的另一个科学假设就是黑洞。由于黑洞引力特大,接近黑洞的生命就相对活得特长,与之相应的时间也相对变得特慢,因此远航到黑洞附近的宇航员相对地球而言大大“延长”了生命,他们在黑洞附近活过的几十个小时相当于在地球上的几十年。显然,该剧的科学顾问、理论物理学家Kip Thorne(故意)忘记了计算由于引力增加而引起的宇航员的体重增加,换言之,按剧情接近黑洞,Cooper等的体重起码要增加相当于他在地球体重的好几万倍,那么,剧中的Cooper等如何能轻松地生活和作业而没被自身的体重压死?

最后,当然就是Brand教授几十年解决不了,由Cooper的天才女儿Murph解出的那个万能方程公式,完美诠释了万有引力的奥妙,继而成功地把拣选而数量有限的幸存者带离了末日降临的地球。什么叫万能公式或称万物理论?就是完美结合宏观相对论和微观量子力学以后推演出的全能全智的数学公式,再加用于拯救世界的全善。哲学上,相对论是决定论而量子力学是随机论,祈求两个本质上矛盾的理论实现统一并属实,理论上和实际上的难度相当于论证上帝的存在,科学与神学的完美结合。

好莱坞的科幻实为宗教,现代科学的发展不但无碍宗教,反而为宗教神学提供了更多的假设、更广的假想,因为科学的前身就是古希腊的形而上学,而形而上学与神学共享了同一个超自然的思维。就穿越科幻片而言,我认为2016年的《降临》更有创新性(参见我的回答)。做科学的确需要创新的想象和假设,做神学也一样。如何区别神学和科学、其中再夹个形而上学,正确引导青少年热爱科学、识别神学?这是项技术挑战性很强的教育任务。

讨论这个没意思,还不如来说说电影里面的金手指,那个“他们”到底是谁?这帮人很扯淡,在木星还是火星上开个稳定的虫洞,还能把人丢进思维空间再抓出来,而且要准确地抓出来后丢到空间站附近,有这能耐说治疗不了地球的枯萎病我是不相信的。这跟神和蚂蚁的传说完全不是一个等级的故事。

确切的问法应该是该剧有哪些不靠谱的科学假设?与宗教相似,艺术求创新不求论证或实证,没有错误可言,大凡能卖座的艺术和宗教肯定错不了。

该剧力求科学严谨,还请了个理论天体物理学家做技术顾问。天体物理学算得上是一门最有代表性的科学,科学做学问的基本思路就是理论假设,接着对理论进行论证或实证,实际上就是古希腊人发明的形而上学逻辑论证。扫读了下已发表的回答,不妨补充下《星际穿越》的三个最基本的艺术夸张和科学误导,虫洞、黑洞和万能公式。

首先,虫洞是个理论假设,基于爱因斯坦的相对论。相对论推断时空可以弯曲,虫洞就是基于时空弯曲这个推断的进一步假设。理论上在表达相对论时为了视觉方便,“三维”之体的时空往往画成“二维”的面,如图,

剧中科学家Romilly用一张纸和一支笔对虫洞的生成做了个精彩的演示。那张纸代表爱因斯坦的“二维”时空,他先用笔在纸面画上间距分开的两个点,分别代表了前后两个任意的时空,比如,今日十二点正的地球相对一万年前半夜十二点的遥远的某星系某星球。既然面可以假设弯曲,那么面也可以假设折叠。于是,Romilly将纸弯曲并对折,使原来前后分开的两个时空点相互接近甚至接触。他再用笔刺穿了纸上两个点的重叠处,于是虫洞就如此这般奇迹诞生了。换言之,宇航员就像那支笔一样可以穿越时空,或前穿或后穿,如图

你相信上述的科学吗?事实上,穿越时空的假设是建立在一系列假设的逻辑推理假想而已,不是真的:

  1. 假设的时空不可折叠。爱因斯坦假设的时空不是“二维”之面而是“三维”之体,你如何折叠一个“三维”体??

  2. 时空本身就是个假设。爱因斯坦在数学操作中假设时间为另一个空间维度而由此发明了时空的概念。现实中时间只是空间变化的历史,并不是实际的存在,换言之,时间是虚假的意念存在而不是真实的空间存在。

  3. 几何的空间维度本身也是个数学假设,事实上我们一直就生活在一个多维的空间。维度也就是空间的走向,所谓的几何维度实为一个凭空捏造的理念,基于笛卡尔为计算空间点位置的方便而发明的坐标系。维度的定义来自欧几里德几何,零维被定义为占零空间的点、一维占零宽度的线、二维占零厚度的面。现实中有谁真见过不占空间的点、无宽的线和无厚的面??可见,

  4. 几何就是假的,而爱因斯坦的相对论正是以几何为数学基础的理论。

综上所述,艺术上的穿越基于了科学上的多重连环假设,其中没有一环得到过实证。任何没有实证的假设都不是真的、都不靠谱。

其次,除了通过一系列假设而凭空捏造的虫洞,《星际穿越》的另一个科学假设就是黑洞。由于黑洞引力特大,接近黑洞的生命就相对活得特长,与之相应的时间也相对变得特慢,因此远航到黑洞附近的宇航员相对地球而言大大“延长”了生命,他们在黑洞附近活过的几十个小时相当于在地球上的几十年。显然,该剧的科学顾问、理论物理学家Kip Thorne(故意)忘记了计算由于引力增加而引起的宇航员的体重增加,换言之,按剧情接近黑洞,Cooper等的体重起码要增加相当于他在地球体重的好几万倍,那么,剧中的Cooper等如何能轻松地生活和作业而没被自身的体重压死?

最后,当然就是Brand教授几十年解决不了,由Cooper的天才女儿Murph解出的那个万能方程公式,完美诠释了万有引力的奥妙,继而成功地把拣选而数量有限的幸存者带离了末日降临的地球。什么叫万能公式或称万物理论?就是完美结合宏观相对论和微观量子力学以后推演出的全能全智的数学公式,再加用于拯救世界的全善。哲学上,相对论是决定论而量子力学是随机论,祈求两个本质上矛盾的理论实现统一并属实,理论上和实际上的难度相当于论证上帝的存在,科学与神学的完美结合。

好莱坞的科幻实为宗教,现代科学的发展不但无碍宗教,反而为宗教神学提供了更多的假设、更广的假想,因为科学的前身就是古希腊的形而上学,而形而上学与神学共享了同一个超自然的思维。就穿越科幻片而言,我认为2016年的《降临》更有创新性(参见我的回答)。做科学的确需要创新的想象和假设,做神学也一样。如何区别神学和科学、其中再夹个形而上学,正确引导青少年热爱科学、识别神学?这是项技术挑战性很强的教育任务。

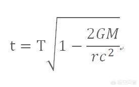
题目中的关键点说反了,并不是地球一小时,星球上过7年,而是地球7年,星球一小时。这里的时间差别可以用相对论所解释。

在广义相对论中,引力就会对时间造成影响(当然了,引力在相对论中被解释为时空弯曲的表现)。有这样一个结论,引力场强度越强的区域,时间流逝的就越慢。

比如地球上空卫星所在轨道位置的重力加速度就要低于地球表面,因此卫星的时间走的就比地球要快,再结合狭义相对论,所以GPS卫星每天要比地表快38微秒。

而电影中的星球名叫米勒行星,它是一颗围绕黑洞运转的星球,它所处位置的引力场强度要远大于地球表面,因此米勒星球的时间流逝就要慢于地球。终导致“地球过7年,星球才过一小时的情况”。

期待您的点评和关注哦!

确切的问法应该是该剧有哪些不靠谱的科学假设?与宗教相似,艺术求创新不求论证或实证,没有错误可言,大凡能卖座的艺术和宗教肯定错不了。

该剧力求科学严谨,还请了个理论天体物理学家做技术顾问。天体物理学算得上是一门最有代表性的科学,科学做学问的基本思路就是理论假设,接着对理论进行论证或实证,实际上就是古希腊人发明的形而上学逻辑论证。扫读了下已发表的回答,不妨补充下《星际穿越》的三个最基本的艺术夸张和科学误导,虫洞、黑洞和万能公式。

首先,虫洞是个理论假设,基于爱因斯坦的相对论。相对论推断时空可以弯曲,虫洞就是基于时空弯曲这个推断的进一步假设。理论上在表达相对论时为了视觉方便,“三维”之体的时空往往画成“二维”的面,如图,

剧中科学家Romilly用一张纸和一支笔对虫洞的生成做了个精彩的演示。那张纸代表爱因斯坦的“二维”时空,他先用笔在纸面画上间距分开的两个点,分别代表了前后两个任意的时空,比如,今日十二点正的地球相对一万年前半夜十二点的遥远的某星系某星球。既然面可以假设弯曲,那么面也可以假设折叠。于是,Romilly将纸弯曲并对折,使原来前后分开的两个时空点相互接近甚至接触。他再用笔刺穿了纸上两个点的重叠处,于是虫洞就如此这般奇迹诞生了。换言之,宇航员就像那支笔一样可以穿越时空,或前穿或后穿,如图

你相信上述的科学吗?事实上,穿越时空的假设是建立在一系列假设的逻辑推理假想而已,不是真的:

  1. 假设的时空不可折叠。爱因斯坦假设的时空不是“二维”之面而是“三维”之体,你如何折叠一个“三维”体??

  2. 时空本身就是个假设。爱因斯坦在数学操作中假设时间为另一个空间维度而由此发明了时空的概念。现实中时间只是空间变化的历史,并不是实际的存在,换言之,时间是虚假的意念存在而不是真实的空间存在。

  3. 几何的空间维度本身也是个数学假设,事实上我们一直就生活在一个多维的空间。维度也就是空间的走向,所谓的几何维度实为一个凭空捏造的理念,基于笛卡尔为计算空间点位置的方便而发明的坐标系。维度的定义来自欧几里德几何,零维被定义为占零空间的点、一维占零宽度的线、二维占零厚度的面。现实中有谁真见过不占空间的点、无宽的线和无厚的面??可见,

  4. 几何就是假的,而爱因斯坦的相对论正是以几何为数学基础的理论。

综上所述,艺术上的穿越基于了科学上的多重连环假设,其中没有一环得到过实证。任何没有实证的假设都不是真的、都不靠谱。

其次,除了通过一系列假设而凭空捏造的虫洞,《星际穿越》的另一个科学假设就是黑洞。由于黑洞引力特大,接近黑洞的生命就相对活得特长,与之相应的时间也相对变得特慢,因此远航到黑洞附近的宇航员相对地球而言大大“延长”了生命,他们在黑洞附近活过的几十个小时相当于在地球上的几十年。显然,该剧的科学顾问、理论物理学家Kip Thorne(故意)忘记了计算由于引力增加而引起的宇航员的体重增加,换言之,按剧情接近黑洞,Cooper等的体重起码要增加相当于他在地球体重的好几万倍,那么,剧中的Cooper等如何能轻松地生活和作业而没被自身的体重压死?

最后,当然就是Brand教授几十年解决不了,由Cooper的天才女儿Murph解出的那个万能方程公式,完美诠释了万有引力的奥妙,继而成功地把拣选而数量有限的幸存者带离了末日降临的地球。什么叫万能公式或称万物理论?就是完美结合宏观相对论和微观量子力学以后推演出的全能全智的数学公式,再加用于拯救世界的全善。哲学上,相对论是决定论而量子力学是随机论,祈求两个本质上矛盾的理论实现统一并属实,理论上和实际上的难度相当于论证上帝的存在,科学与神学的完美结合。

好莱坞的科幻实为宗教,现代科学的发展不但无碍宗教,反而为宗教神学提供了更多的假设、更广的假想,因为科学的前身就是古希腊的形而上学,而形而上学与神学共享了同一个超自然的思维。就穿越科幻片而言,我认为2016年的《降临》更有创新性(参见我的回答)。做科学的确需要创新的想象和假设,做神学也一样。如何区别神学和科学、其中再夹个形而上学,正确引导青少年热爱科学、识别神学?这是项技术挑战性很强的教育任务。

北大教授说:我拒绝回答,那是我的权利!

确切的问法应该是该剧有哪些不靠谱的科学假设?与宗教相似,艺术求创新不求论证或实证,没有错误可言,大凡能卖座的艺术和宗教肯定错不了。

该剧力求科学严谨,还请了个理论天体物理学家做技术顾问。天体物理学算得上是一门最有代表性的科学,科学做学问的基本思路就是理论假设,接着对理论进行论证或实证,实际上就是古希腊人发明的形而上学逻辑论证。扫读了下已发表的回答,不妨补充下《星际穿越》的三个最基本的艺术夸张和科学误导,虫洞、黑洞和万能公式。

首先,虫洞是个理论假设,基于爱因斯坦的相对论。相对论推断时空可以弯曲,虫洞就是基于时空弯曲这个推断的进一步假设。理论上在表达相对论时为了视觉方便,“三维”之体的时空往往画成“二维”的面,如图,

剧中科学家Romilly用一张纸和一支笔对虫洞的生成做了个精彩的演示。那张纸代表爱因斯坦的“二维”时空,他先用笔在纸面画上间距分开的两个点,分别代表了前后两个任意的时空,比如,今日十二点正的地球相对一万年前半夜十二点的遥远的某星系某星球。既然面可以假设弯曲,那么面也可以假设折叠。于是,Romilly将纸弯曲并对折,使原来前后分开的两个时空点相互接近甚至接触。他再用笔刺穿了纸上两个点的重叠处,于是虫洞就如此这般奇迹诞生了。换言之,宇航员就像那支笔一样可以穿越时空,或前穿或后穿,如图

你相信上述的科学吗?事实上,穿越时空的假设是建立在一系列假设的逻辑推理假想而已,不是真的:

  1. 假设的时空不可折叠。爱因斯坦假设的时空不是“二维”之面而是“三维”之体,你如何折叠一个“三维”体??

  2. 时空本身就是个假设。爱因斯坦在数学操作中假设时间为另一个空间维度而由此发明了时空的概念。现实中时间只是空间变化的历史,并不是实际的存在,换言之,时间是虚假的意念存在而不是真实的空间存在。

  3. 几何的空间维度本身也是个数学假设,事实上我们一直就生活在一个多维的空间。维度也就是空间的走向,所谓的几何维度实为一个凭空捏造的理念,基于笛卡尔为计算空间点位置的方便而发明的坐标系。维度的定义来自欧几里德几何,零维被定义为占零空间的点、一维占零宽度的线、二维占零厚度的面。现实中有谁真见过不占空间的点、无宽的线和无厚的面??可见,

  4. 几何就是假的,而爱因斯坦的相对论正是以几何为数学基础的理论。

综上所述,艺术上的穿越基于了科学上的多重连环假设,其中没有一环得到过实证。任何没有实证的假设都不是真的、都不靠谱。

其次,除了通过一系列假设而凭空捏造的虫洞,《星际穿越》的另一个科学假设就是黑洞。由于黑洞引力特大,接近黑洞的生命就相对活得特长,与之相应的时间也相对变得特慢,因此远航到黑洞附近的宇航员相对地球而言大大“延长”了生命,他们在黑洞附近活过的几十个小时相当于在地球上的几十年。显然,该剧的科学顾问、理论物理学家Kip Thorne(故意)忘记了计算由于引力增加而引起的宇航员的体重增加,换言之,按剧情接近黑洞,Cooper等的体重起码要增加相当于他在地球体重的好几万倍,那么,剧中的Cooper等如何能轻松地生活和作业而没被自身的体重压死?

最后,当然就是Brand教授几十年解决不了,由Cooper的天才女儿Murph解出的那个万能方程公式,完美诠释了万有引力的奥妙,继而成功地把拣选而数量有限的幸存者带离了末日降临的地球。什么叫万能公式或称万物理论?就是完美结合宏观相对论和微观量子力学以后推演出的全能全智的数学公式,再加用于拯救世界的全善。哲学上,相对论是决定论而量子力学是随机论,祈求两个本质上矛盾的理论实现统一并属实,理论上和实际上的难度相当于论证上帝的存在,科学与神学的完美结合。

好莱坞的科幻实为宗教,现代科学的发展不但无碍宗教,反而为宗教神学提供了更多的假设、更广的假想,因为科学的前身就是古希腊的形而上学,而形而上学与神学共享了同一个超自然的思维。就穿越科幻片而言,我认为2016年的《降临》更有创新性(参见我的回答)。做科学的确需要创新的想象和假设,做神学也一样。如何区别神学和科学、其中再夹个形而上学,正确引导青少年热爱科学、识别神学?这是项技术挑战性很强的教育任务。

简单的说,《星际穿越》主要讲的就是,人类面对日益恶化的环境,于是准备寻找其他适宜居住的星球,通过木星旁的一个虫洞,人类穿越到距离地球很远的一个星系,在对于一个又一个的星球确认不适合居住后,被未来的人类传输了“公式”,解开了困扰人类的难题,于是人类成功的度过了这次难关。

如果说剧情的话,主要在叛变、在超立方体内传送知识这两处剧情性比较强,在别的电影情节上,主要是通过人们对于宇宙的极限思维,打造了非常棒的视觉效果。

例如因为巨大的潮汐力而产生的上百米的高浪,在超立方体内类似于“无限”的场景,都让人无比的震撼。

并且在剧情的最后,年轻依旧的库珀,来到自己已经白发苍苍的女儿面前,电影为我们打造了因为相对论关系而造成的时间偏差的场景,让我们对于科学的认知,无不感到惊奇。


我是希言,欢迎关注我了解更多科幻电影资讯,谢谢。

确切的问法应该是该剧有哪些不靠谱的科学假设?与宗教相似,艺术求创新不求论证或实证,没有错误可言,大凡能卖座的艺术和宗教肯定错不了。

该剧力求科学严谨,还请了个理论天体物理学家做技术顾问。天体物理学算得上是一门最有代表性的科学,科学做学问的基本思路就是理论假设,接着对理论进行论证或实证,实际上就是古希腊人发明的形而上学逻辑论证。扫读了下已发表的回答,不妨补充下《星际穿越》的三个最基本的艺术夸张和科学误导,虫洞、黑洞和万能公式。

首先,虫洞是个理论假设,基于爱因斯坦的相对论。相对论推断时空可以弯曲,虫洞就是基于时空弯曲这个推断的进一步假设。理论上在表达相对论时为了视觉方便,“三维”之体的时空往往画成“二维”的面,如图,

剧中科学家Romilly用一张纸和一支笔对虫洞的生成做了个精彩的演示。那张纸代表爱因斯坦的“二维”时空,他先用笔在纸面画上间距分开的两个点,分别代表了前后两个任意的时空,比如,今日十二点正的地球相对一万年前半夜十二点的遥远的某星系某星球。既然面可以假设弯曲,那么面也可以假设折叠。于是,Romilly将纸弯曲并对折,使原来前后分开的两个时空点相互接近甚至接触。他再用笔刺穿了纸上两个点的重叠处,于是虫洞就如此这般奇迹诞生了。换言之,宇航员就像那支笔一样可以穿越时空,或前穿或后穿,如图

你相信上述的科学吗?事实上,穿越时空的假设是建立在一系列假设的逻辑推理假想而已,不是真的:

  1. 假设的时空不可折叠。爱因斯坦假设的时空不是“二维”之面而是“三维”之体,你如何折叠一个“三维”体??

  2. 时空本身就是个假设。爱因斯坦在数学操作中假设时间为另一个空间维度而由此发明了时空的概念。现实中时间只是空间变化的历史,并不是实际的存在,换言之,时间是虚假的意念存在而不是真实的空间存在。

  3. 几何的空间维度本身也是个数学假设,事实上我们一直就生活在一个多维的空间。维度也就是空间的走向,所谓的几何维度实为一个凭空捏造的理念,基于笛卡尔为计算空间点位置的方便而发明的坐标系。维度的定义来自欧几里德几何,零维被定义为占零空间的点、一维占零宽度的线、二维占零厚度的面。现实中有谁真见过不占空间的点、无宽的线和无厚的面??可见,

  4. 几何就是假的,而爱因斯坦的相对论正是以几何为数学基础的理论。

综上所述,艺术上的穿越基于了科学上的多重连环假设,其中没有一环得到过实证。任何没有实证的假设都不是真的、都不靠谱。

其次,除了通过一系列假设而凭空捏造的虫洞,《星际穿越》的另一个科学假设就是黑洞。由于黑洞引力特大,接近黑洞的生命就相对活得特长,与之相应的时间也相对变得特慢,因此远航到黑洞附近的宇航员相对地球而言大大“延长”了生命,他们在黑洞附近活过的几十个小时相当于在地球上的几十年。显然,该剧的科学顾问、理论物理学家Kip Thorne(故意)忘记了计算由于引力增加而引起的宇航员的体重增加,换言之,按剧情接近黑洞,Cooper等的体重起码要增加相当于他在地球体重的好几万倍,那么,剧中的Cooper等如何能轻松地生活和作业而没被自身的体重压死?

最后,当然就是Brand教授几十年解决不了,由Cooper的天才女儿Murph解出的那个万能方程公式,完美诠释了万有引力的奥妙,继而成功地把拣选而数量有限的幸存者带离了末日降临的地球。什么叫万能公式或称万物理论?就是完美结合宏观相对论和微观量子力学以后推演出的全能全智的数学公式,再加用于拯救世界的全善。哲学上,相对论是决定论而量子力学是随机论,祈求两个本质上矛盾的理论实现统一并属实,理论上和实际上的难度相当于论证上帝的存在,科学与神学的完美结合。

好莱坞的科幻实为宗教,现代科学的发展不但无碍宗教,反而为宗教神学提供了更多的假设、更广的假想,因为科学的前身就是古希腊的形而上学,而形而上学与神学共享了同一个超自然的思维。就穿越科幻片而言,我认为2016年的《降临》更有创新性(参见我的回答)。做科学的确需要创新的想象和假设,做神学也一样。如何区别神学和科学、其中再夹个形而上学,正确引导青少年热爱科学、识别神学?这是项技术挑战性很强的教育任务。

简单的说,《星际穿越》主要讲的就是,人类面对日益恶化的环境,于是准备寻找其他适宜居住的星球,通过木星旁的一个虫洞,人类穿越到距离地球很远的一个星系,在对于一个又一个的星球确认不适合居住后,被未来的人类传输了“公式”,解开了困扰人类的难题,于是人类成功的度过了这次难关。

如果说剧情的话,主要在叛变、在超立方体内传送知识这两处剧情性比较强,在别的电影情节上,主要是通过人们对于宇宙的极限思维,打造了非常棒的视觉效果。

例如因为巨大的潮汐力而产生的上百米的高浪,在超立方体内类似于“无限”的场景,都让人无比的震撼。

并且在剧情的最后,年轻依旧的库珀,来到自己已经白发苍苍的女儿面前,电影为我们打造了因为相对论关系而造成的时间偏差的场景,让我们对于科学的认知,无不感到惊奇。


我是希言,欢迎关注我了解更多科幻电影资讯,谢谢。

确切的问法应该是该剧有哪些不靠谱的科学假设?与宗教相似,艺术求创新不求论证或实证,没有错误可言,大凡能卖座的艺术和宗教肯定错不了。

该剧力求科学严谨,还请了个理论天体物理学家做技术顾问。天体物理学算得上是一门最有代表性的科学,科学做学问的基本思路就是理论假设,接着对理论进行论证或实证,实际上就是古希腊人发明的形而上学逻辑论证。扫读了下已发表的回答,不妨补充下《星际穿越》的三个最基本的艺术夸张和科学误导,虫洞、黑洞和万能公式。

首先,虫洞是个理论假设,基于爱因斯坦的相对论。相对论推断时空可以弯曲,虫洞就是基于时空弯曲这个推断的进一步假设。理论上在表达相对论时为了视觉方便,“三维”之体的时空往往画成“二维”的面,如图,

剧中科学家Romilly用一张纸和一支笔对虫洞的生成做了个精彩的演示。那张纸代表爱因斯坦的“二维”时空,他先用笔在纸面画上间距分开的两个点,分别代表了前后两个任意的时空,比如,今日十二点正的地球相对一万年前半夜十二点的遥远的某星系某星球。既然面可以假设弯曲,那么面也可以假设折叠。于是,Romilly将纸弯曲并对折,使原来前后分开的两个时空点相互接近甚至接触。他再用笔刺穿了纸上两个点的重叠处,于是虫洞就如此这般奇迹诞生了。换言之,宇航员就像那支笔一样可以穿越时空,或前穿或后穿,如图

你相信上述的科学吗?事实上,穿越时空的假设是建立在一系列假设的逻辑推理假想而已,不是真的:

  1. 假设的时空不可折叠。爱因斯坦假设的时空不是“二维”之面而是“三维”之体,你如何折叠一个“三维”体??

  2. 时空本身就是个假设。爱因斯坦在数学操作中假设时间为另一个空间维度而由此发明了时空的概念。现实中时间只是空间变化的历史,并不是实际的存在,换言之,时间是虚假的意念存在而不是真实的空间存在。

  3. 几何的空间维度本身也是个数学假设,事实上我们一直就生活在一个多维的空间。维度也就是空间的走向,所谓的几何维度实为一个凭空捏造的理念,基于笛卡尔为计算空间点位置的方便而发明的坐标系。维度的定义来自欧几里德几何,零维被定义为占零空间的点、一维占零宽度的线、二维占零厚度的面。现实中有谁真见过不占空间的点、无宽的线和无厚的面??可见,

  4. 几何就是假的,而爱因斯坦的相对论正是以几何为数学基础的理论。

综上所述,艺术上的穿越基于了科学上的多重连环假设,其中没有一环得到过实证。任何没有实证的假设都不是真的、都不靠谱。

其次,除了通过一系列假设而凭空捏造的虫洞,《星际穿越》的另一个科学假设就是黑洞。由于黑洞引力特大,接近黑洞的生命就相对活得特长,与之相应的时间也相对变得特慢,因此远航到黑洞附近的宇航员相对地球而言大大“延长”了生命,他们在黑洞附近活过的几十个小时相当于在地球上的几十年。显然,该剧的科学顾问、理论物理学家Kip Thorne(故意)忘记了计算由于引力增加而引起的宇航员的体重增加,换言之,按剧情接近黑洞,Cooper等的体重起码要增加相当于他在地球体重的好几万倍,那么,剧中的Cooper等如何能轻松地生活和作业而没被自身的体重压死?

最后,当然就是Brand教授几十年解决不了,由Cooper的天才女儿Murph解出的那个万能方程公式,完美诠释了万有引力的奥妙,继而成功地把拣选而数量有限的幸存者带离了末日降临的地球。什么叫万能公式或称万物理论?就是完美结合宏观相对论和微观量子力学以后推演出的全能全智的数学公式,再加用于拯救世界的全善。哲学上,相对论是决定论而量子力学是随机论,祈求两个本质上矛盾的理论实现统一并属实,理论上和实际上的难度相当于论证上帝的存在,科学与神学的完美结合。

好莱坞的科幻实为宗教,现代科学的发展不但无碍宗教,反而为宗教神学提供了更多的假设、更广的假想,因为科学的前身就是古希腊的形而上学,而形而上学与神学共享了同一个超自然的思维。就穿越科幻片而言,我认为2016年的《降临》更有创新性(参见我的回答)。做科学的确需要创新的想象和假设,做神学也一样。如何区别神学和科学、其中再夹个形而上学,正确引导青少年热爱科学、识别神学?这是项技术挑战性很强的教育任务。

没有,星际穿越是最伟大的科幻电影,没有之一

确切的问法应该是该剧有哪些不靠谱的科学假设?与宗教相似,艺术求创新不求论证或实证,没有错误可言,大凡能卖座的艺术和宗教肯定错不了。

该剧力求科学严谨,还请了个理论天体物理学家做技术顾问。天体物理学算得上是一门最有代表性的科学,科学做学问的基本思路就是理论假设,接着对理论进行论证或实证,实际上就是古希腊人发明的形而上学逻辑论证。扫读了下已发表的回答,不妨补充下《星际穿越》的三个最基本的艺术夸张和科学误导,虫洞、黑洞和万能公式。

首先,虫洞是个理论假设,基于爱因斯坦的相对论。相对论推断时空可以弯曲,虫洞就是基于时空弯曲这个推断的进一步假设。理论上在表达相对论时为了视觉方便,“三维”之体的时空往往画成“二维”的面,如图,

剧中科学家Romilly用一张纸和一支笔对虫洞的生成做了个精彩的演示。那张纸代表爱因斯坦的“二维”时空,他先用笔在纸面画上间距分开的两个点,分别代表了前后两个任意的时空,比如,今日十二点正的地球相对一万年前半夜十二点的遥远的某星系某星球。既然面可以假设弯曲,那么面也可以假设折叠。于是,Romilly将纸弯曲并对折,使原来前后分开的两个时空点相互接近甚至接触。他再用笔刺穿了纸上两个点的重叠处,于是虫洞就如此这般奇迹诞生了。换言之,宇航员就像那支笔一样可以穿越时空,或前穿或后穿,如图

你相信上述的科学吗?事实上,穿越时空的假设是建立在一系列假设的逻辑推理假想而已,不是真的:

  1. 假设的时空不可折叠。爱因斯坦假设的时空不是“二维”之面而是“三维”之体,你如何折叠一个“三维”体??

  2. 时空本身就是个假设。爱因斯坦在数学操作中假设时间为另一个空间维度而由此发明了时空的概念。现实中时间只是空间变化的历史,并不是实际的存在,换言之,时间是虚假的意念存在而不是真实的空间存在。

  3. 几何的空间维度本身也是个数学假设,事实上我们一直就生活在一个多维的空间。维度也就是空间的走向,所谓的几何维度实为一个凭空捏造的理念,基于笛卡尔为计算空间点位置的方便而发明的坐标系。维度的定义来自欧几里德几何,零维被定义为占零空间的点、一维占零宽度的线、二维占零厚度的面。现实中有谁真见过不占空间的点、无宽的线和无厚的面??可见,

  4. 几何就是假的,而爱因斯坦的相对论正是以几何为数学基础的理论。

综上所述,艺术上的穿越基于了科学上的多重连环假设,其中没有一环得到过实证。任何没有实证的假设都不是真的、都不靠谱。

其次,除了通过一系列假设而凭空捏造的虫洞,《星际穿越》的另一个科学假设就是黑洞。由于黑洞引力特大,接近黑洞的生命就相对活得特长,与之相应的时间也相对变得特慢,因此远航到黑洞附近的宇航员相对地球而言大大“延长”了生命,他们在黑洞附近活过的几十个小时相当于在地球上的几十年。显然,该剧的科学顾问、理论物理学家Kip Thorne(故意)忘记了计算由于引力增加而引起的宇航员的体重增加,换言之,按剧情接近黑洞,Cooper等的体重起码要增加相当于他在地球体重的好几万倍,那么,剧中的Cooper等如何能轻松地生活和作业而没被自身的体重压死?

最后,当然就是Brand教授几十年解决不了,由Cooper的天才女儿Murph解出的那个万能方程公式,完美诠释了万有引力的奥妙,继而成功地把拣选而数量有限的幸存者带离了末日降临的地球。什么叫万能公式或称万物理论?就是完美结合宏观相对论和微观量子力学以后推演出的全能全智的数学公式,再加用于拯救世界的全善。哲学上,相对论是决定论而量子力学是随机论,祈求两个本质上矛盾的理论实现统一并属实,理论上和实际上的难度相当于论证上帝的存在,科学与神学的完美结合。

好莱坞的科幻实为宗教,现代科学的发展不但无碍宗教,反而为宗教神学提供了更多的假设、更广的假想,因为科学的前身就是古希腊的形而上学,而形而上学与神学共享了同一个超自然的思维。就穿越科幻片而言,我认为2016年的《降临》更有创新性(参见我的回答)。做科学的确需要创新的想象和假设,做神学也一样。如何区别神学和科学、其中再夹个形而上学,正确引导青少年热爱科学、识别神学?这是项技术挑战性很强的教育任务。

在未来某个时间的地球上,气候和环境急剧恶化,地球正面临一场严重的农业灾难,农作物难以种植导致人类的粮食严重紧缺。库珀曾是一位飞行员、工程师,如今这个单身爸爸与一对儿女在一座农场里生活。

就在儿女发现一系列奇怪的征兆之后,库珀受到美国航天局邀请被派往太空执行一个艰巨的任务。

原来,地球已濒临灭亡,人类需要紧急寻找新的居住地。库珀与女科学家艾米莉亚及其他两位科学家、两个机器人一同出发,他们要穿越“虫洞”到另一个空间去找寻有可能让人类居住的星球。

作为拯救人类未来计划的一员,库珀被迫离开深爱的女儿和儿子。一晃许多年过去,库珀的女儿长大后竟然也做了一名太空科学家。在库珀女儿的心里一直有一个念头——也许在另外一个时空,能和父亲再次重逢……

世界在历经极端气候与粮食危机,地球濒临末日之际,一位电机工程师(马修·麦康纳 Matthew McConaughey 饰)与一群专业研究者还有顶尖太空人(安妮·海瑟薇 Anne Hathaway 饰),扛起人类史上最重要的任务,越过已知的银河,在星际间寻找未来出路。同时必须先割舍无法与家人见面的亲情牵绊,在爱与勇气、生存与挑战中,跨越星际拯救人类……慢慢看,这电影还可以


确切的问法应该是该剧有哪些不靠谱的科学假设?与宗教相似,艺术求创新不求论证或实证,没有错误可言,大凡能卖座的艺术和宗教肯定错不了。

该剧力求科学严谨,还请了个理论天体物理学家做技术顾问。天体物理学算得上是一门最有代表性的科学,科学做学问的基本思路就是理论假设,接着对理论进行论证或实证,实际上就是古希腊人发明的形而上学逻辑论证。扫读了下已发表的回答,不妨补充下《星际穿越》的三个最基本的艺术夸张和科学误导,虫洞、黑洞和万能公式。

首先,虫洞是个理论假设,基于爱因斯坦的相对论。相对论推断时空可以弯曲,虫洞就是基于时空弯曲这个推断的进一步假设。理论上在表达相对论时为了视觉方便,“三维”之体的时空往往画成“二维”的面,如图,

剧中科学家Romilly用一张纸和一支笔对虫洞的生成做了个精彩的演示。那张纸代表爱因斯坦的“二维”时空,他先用笔在纸面画上间距分开的两个点,分别代表了前后两个任意的时空,比如,今日十二点正的地球相对一万年前半夜十二点的遥远的某星系某星球。既然面可以假设弯曲,那么面也可以假设折叠。于是,Romilly将纸弯曲并对折,使原来前后分开的两个时空点相互接近甚至接触。他再用笔刺穿了纸上两个点的重叠处,于是虫洞就如此这般奇迹诞生了。换言之,宇航员就像那支笔一样可以穿越时空,或前穿或后穿,如图

你相信上述的科学吗?事实上,穿越时空的假设是建立在一系列假设的逻辑推理假想而已,不是真的:

  1. 假设的时空不可折叠。爱因斯坦假设的时空不是“二维”之面而是“三维”之体,你如何折叠一个“三维”体??

  2. 时空本身就是个假设。爱因斯坦在数学操作中假设时间为另一个空间维度而由此发明了时空的概念。现实中时间只是空间变化的历史,并不是实际的存在,换言之,时间是虚假的意念存在而不是真实的空间存在。

  3. 几何的空间维度本身也是个数学假设,事实上我们一直就生活在一个多维的空间。维度也就是空间的走向,所谓的几何维度实为一个凭空捏造的理念,基于笛卡尔为计算空间点位置的方便而发明的坐标系。维度的定义来自欧几里德几何,零维被定义为占零空间的点、一维占零宽度的线、二维占零厚度的面。现实中有谁真见过不占空间的点、无宽的线和无厚的面??可见,

  4. 几何就是假的,而爱因斯坦的相对论正是以几何为数学基础的理论。

综上所述,艺术上的穿越基于了科学上的多重连环假设,其中没有一环得到过实证。任何没有实证的假设都不是真的、都不靠谱。

其次,除了通过一系列假设而凭空捏造的虫洞,《星际穿越》的另一个科学假设就是黑洞。由于黑洞引力特大,接近黑洞的生命就相对活得特长,与之相应的时间也相对变得特慢,因此远航到黑洞附近的宇航员相对地球而言大大“延长”了生命,他们在黑洞附近活过的几十个小时相当于在地球上的几十年。显然,该剧的科学顾问、理论物理学家Kip Thorne(故意)忘记了计算由于引力增加而引起的宇航员的体重增加,换言之,按剧情接近黑洞,Cooper等的体重起码要增加相当于他在地球体重的好几万倍,那么,剧中的Cooper等如何能轻松地生活和作业而没被自身的体重压死?

最后,当然就是Brand教授几十年解决不了,由Cooper的天才女儿Murph解出的那个万能方程公式,完美诠释了万有引力的奥妙,继而成功地把拣选而数量有限的幸存者带离了末日降临的地球。什么叫万能公式或称万物理论?就是完美结合宏观相对论和微观量子力学以后推演出的全能全智的数学公式,再加用于拯救世界的全善。哲学上,相对论是决定论而量子力学是随机论,祈求两个本质上矛盾的理论实现统一并属实,理论上和实际上的难度相当于论证上帝的存在,科学与神学的完美结合。

好莱坞的科幻实为宗教,现代科学的发展不但无碍宗教,反而为宗教神学提供了更多的假设、更广的假想,因为科学的前身就是古希腊的形而上学,而形而上学与神学共享了同一个超自然的思维。就穿越科幻片而言,我认为2016年的《降临》更有创新性(参见我的回答)。做科学的确需要创新的想象和假设,做神学也一样。如何区别神学和科学、其中再夹个形而上学,正确引导青少年热爱科学、识别神学?这是项技术挑战性很强的教育任务。

这就是我的答案


确切的问法应该是该剧有哪些不靠谱的科学假设?与宗教相似,艺术求创新不求论证或实证,没有错误可言,大凡能卖座的艺术和宗教肯定错不了。

该剧力求科学严谨,还请了个理论天体物理学家做技术顾问。天体物理学算得上是一门最有代表性的科学,科学做学问的基本思路就是理论假设,接着对理论进行论证或实证,实际上就是古希腊人发明的形而上学逻辑论证。扫读了下已发表的回答,不妨补充下《星际穿越》的三个最基本的艺术夸张和科学误导,虫洞、黑洞和万能公式。

首先,虫洞是个理论假设,基于爱因斯坦的相对论。相对论推断时空可以弯曲,虫洞就是基于时空弯曲这个推断的进一步假设。理论上在表达相对论时为了视觉方便,“三维”之体的时空往往画成“二维”的面,如图,

剧中科学家Romilly用一张纸和一支笔对虫洞的生成做了个精彩的演示。那张纸代表爱因斯坦的“二维”时空,他先用笔在纸面画上间距分开的两个点,分别代表了前后两个任意的时空,比如,今日十二点正的地球相对一万年前半夜十二点的遥远的某星系某星球。既然面可以假设弯曲,那么面也可以假设折叠。于是,Romilly将纸弯曲并对折,使原来前后分开的两个时空点相互接近甚至接触。他再用笔刺穿了纸上两个点的重叠处,于是虫洞就如此这般奇迹诞生了。换言之,宇航员就像那支笔一样可以穿越时空,或前穿或后穿,如图

你相信上述的科学吗?事实上,穿越时空的假设是建立在一系列假设的逻辑推理假想而已,不是真的:

  1. 假设的时空不可折叠。爱因斯坦假设的时空不是“二维”之面而是“三维”之体,你如何折叠一个“三维”体??

  2. 时空本身就是个假设。爱因斯坦在数学操作中假设时间为另一个空间维度而由此发明了时空的概念。现实中时间只是空间变化的历史,并不是实际的存在,换言之,时间是虚假的意念存在而不是真实的空间存在。

  3. 几何的空间维度本身也是个数学假设,事实上我们一直就生活在一个多维的空间。维度也就是空间的走向,所谓的几何维度实为一个凭空捏造的理念,基于笛卡尔为计算空间点位置的方便而发明的坐标系。维度的定义来自欧几里德几何,零维被定义为占零空间的点、一维占零宽度的线、二维占零厚度的面。现实中有谁真见过不占空间的点、无宽的线和无厚的面??可见,

  4. 几何就是假的,而爱因斯坦的相对论正是以几何为数学基础的理论。

综上所述,艺术上的穿越基于了科学上的多重连环假设,其中没有一环得到过实证。任何没有实证的假设都不是真的、都不靠谱。

其次,除了通过一系列假设而凭空捏造的虫洞,《星际穿越》的另一个科学假设就是黑洞。由于黑洞引力特大,接近黑洞的生命就相对活得特长,与之相应的时间也相对变得特慢,因此远航到黑洞附近的宇航员相对地球而言大大“延长”了生命,他们在黑洞附近活过的几十个小时相当于在地球上的几十年。显然,该剧的科学顾问、理论物理学家Kip Thorne(故意)忘记了计算由于引力增加而引起的宇航员的体重增加,换言之,按剧情接近黑洞,Cooper等的体重起码要增加相当于他在地球体重的好几万倍,那么,剧中的Cooper等如何能轻松地生活和作业而没被自身的体重压死?

最后,当然就是Brand教授几十年解决不了,由Cooper的天才女儿Murph解出的那个万能方程公式,完美诠释了万有引力的奥妙,继而成功地把拣选而数量有限的幸存者带离了末日降临的地球。什么叫万能公式或称万物理论?就是完美结合宏观相对论和微观量子力学以后推演出的全能全智的数学公式,再加用于拯救世界的全善。哲学上,相对论是决定论而量子力学是随机论,祈求两个本质上矛盾的理论实现统一并属实,理论上和实际上的难度相当于论证上帝的存在,科学与神学的完美结合。

好莱坞的科幻实为宗教,现代科学的发展不但无碍宗教,反而为宗教神学提供了更多的假设、更广的假想,因为科学的前身就是古希腊的形而上学,而形而上学与神学共享了同一个超自然的思维。就穿越科幻片而言,我认为2016年的《降临》更有创新性(参见我的回答)。做科学的确需要创新的想象和假设,做神学也一样。如何区别神学和科学、其中再夹个形而上学,正确引导青少年热爱科学、识别神学?这是项技术挑战性很强的教育任务。

讨论这个没意思,还不如来说说电影里面的金手指,那个“他们”到底是谁?这帮人很扯淡,在木星还是火星上开个稳定的虫洞,还能把人丢进思维空间再抓出来,而且要准确地抓出来后丢到空间站附近,有这能耐说治疗不了地球的枯萎病我是不相信的。这跟神和蚂蚁的传说完全不是一个等级的故事。

确切的问法应该是该剧有哪些不靠谱的科学假设?与宗教相似,艺术求创新不求论证或实证,没有错误可言,大凡能卖座的艺术和宗教肯定错不了。

该剧力求科学严谨,还请了个理论天体物理学家做技术顾问。天体物理学算得上是一门最有代表性的科学,科学做学问的基本思路就是理论假设,接着对理论进行论证或实证,实际上就是古希腊人发明的形而上学逻辑论证。扫读了下已发表的回答,不妨补充下《星际穿越》的三个最基本的艺术夸张和科学误导,虫洞、黑洞和万能公式。

首先,虫洞是个理论假设,基于爱因斯坦的相对论。相对论推断时空可以弯曲,虫洞就是基于时空弯曲这个推断的进一步假设。理论上在表达相对论时为了视觉方便,“三维”之体的时空往往画成“二维”的面,如图,

剧中科学家Romilly用一张纸和一支笔对虫洞的生成做了个精彩的演示。那张纸代表爱因斯坦的“二维”时空,他先用笔在纸面画上间距分开的两个点,分别代表了前后两个任意的时空,比如,今日十二点正的地球相对一万年前半夜十二点的遥远的某星系某星球。既然面可以假设弯曲,那么面也可以假设折叠。于是,Romilly将纸弯曲并对折,使原来前后分开的两个时空点相互接近甚至接触。他再用笔刺穿了纸上两个点的重叠处,于是虫洞就如此这般奇迹诞生了。换言之,宇航员就像那支笔一样可以穿越时空,或前穿或后穿,如图

你相信上述的科学吗?事实上,穿越时空的假设是建立在一系列假设的逻辑推理假想而已,不是真的:

  1. 假设的时空不可折叠。爱因斯坦假设的时空不是“二维”之面而是“三维”之体,你如何折叠一个“三维”体??

  2. 时空本身就是个假设。爱因斯坦在数学操作中假设时间为另一个空间维度而由此发明了时空的概念。现实中时间只是空间变化的历史,并不是实际的存在,换言之,时间是虚假的意念存在而不是真实的空间存在。

  3. 几何的空间维度本身也是个数学假设,事实上我们一直就生活在一个多维的空间。维度也就是空间的走向,所谓的几何维度实为一个凭空捏造的理念,基于笛卡尔为计算空间点位置的方便而发明的坐标系。维度的定义来自欧几里德几何,零维被定义为占零空间的点、一维占零宽度的线、二维占零厚度的面。现实中有谁真见过不占空间的点、无宽的线和无厚的面??可见,

  4. 几何就是假的,而爱因斯坦的相对论正是以几何为数学基础的理论。

综上所述,艺术上的穿越基于了科学上的多重连环假设,其中没有一环得到过实证。任何没有实证的假设都不是真的、都不靠谱。

其次,除了通过一系列假设而凭空捏造的虫洞,《星际穿越》的另一个科学假设就是黑洞。由于黑洞引力特大,接近黑洞的生命就相对活得特长,与之相应的时间也相对变得特慢,因此远航到黑洞附近的宇航员相对地球而言大大“延长”了生命,他们在黑洞附近活过的几十个小时相当于在地球上的几十年。显然,该剧的科学顾问、理论物理学家Kip Thorne(故意)忘记了计算由于引力增加而引起的宇航员的体重增加,换言之,按剧情接近黑洞,Cooper等的体重起码要增加相当于他在地球体重的好几万倍,那么,剧中的Cooper等如何能轻松地生活和作业而没被自身的体重压死?

最后,当然就是Brand教授几十年解决不了,由Cooper的天才女儿Murph解出的那个万能方程公式,完美诠释了万有引力的奥妙,继而成功地把拣选而数量有限的幸存者带离了末日降临的地球。什么叫万能公式或称万物理论?就是完美结合宏观相对论和微观量子力学以后推演出的全能全智的数学公式,再加用于拯救世界的全善。哲学上,相对论是决定论而量子力学是随机论,祈求两个本质上矛盾的理论实现统一并属实,理论上和实际上的难度相当于论证上帝的存在,科学与神学的完美结合。

好莱坞的科幻实为宗教,现代科学的发展不但无碍宗教,反而为宗教神学提供了更多的假设、更广的假想,因为科学的前身就是古希腊的形而上学,而形而上学与神学共享了同一个超自然的思维。就穿越科幻片而言,我认为2016年的《降临》更有创新性(参见我的回答)。做科学的确需要创新的想象和假设,做神学也一样。如何区别神学和科学、其中再夹个形而上学,正确引导青少年热爱科学、识别神学?这是项技术挑战性很强的教育任务。

题目中的关键点说反了,并不是地球一小时,星球上过7年,而是地球7年,星球一小时。这里的时间差别可以用相对论所解释。

在广义相对论中,引力就会对时间造成影响(当然了,引力在相对论中被解释为时空弯曲的表现)。有这样一个结论,引力场强度越强的区域,时间流逝的就越慢。

比如地球上空卫星所在轨道位置的重力加速度就要低于地球表面,因此卫星的时间走的就比地球要快,再结合狭义相对论,所以GPS卫星每天要比地表快38微秒。

而电影中的星球名叫米勒行星,它是一颗围绕黑洞运转的星球,它所处位置的引力场强度要远大于地球表面,因此米勒星球的时间流逝就要慢于地球。终导致“地球过7年,星球才过一小时的情况”。

期待您的点评和关注哦!

确切的问法应该是该剧有哪些不靠谱的科学假设?与宗教相似,艺术求创新不求论证或实证,没有错误可言,大凡能卖座的艺术和宗教肯定错不了。

该剧力求科学严谨,还请了个理论天体物理学家做技术顾问。天体物理学算得上是一门最有代表性的科学,科学做学问的基本思路就是理论假设,接着对理论进行论证或实证,实际上就是古希腊人发明的形而上学逻辑论证。扫读了下已发表的回答,不妨补充下《星际穿越》的三个最基本的艺术夸张和科学误导,虫洞、黑洞和万能公式。

首先,虫洞是个理论假设,基于爱因斯坦的相对论。相对论推断时空可以弯曲,虫洞就是基于时空弯曲这个推断的进一步假设。理论上在表达相对论时为了视觉方便,“三维”之体的时空往往画成“二维”的面,如图,

剧中科学家Romilly用一张纸和一支笔对虫洞的生成做了个精彩的演示。那张纸代表爱因斯坦的“二维”时空,他先用笔在纸面画上间距分开的两个点,分别代表了前后两个任意的时空,比如,今日十二点正的地球相对一万年前半夜十二点的遥远的某星系某星球。既然面可以假设弯曲,那么面也可以假设折叠。于是,Romilly将纸弯曲并对折,使原来前后分开的两个时空点相互接近甚至接触。他再用笔刺穿了纸上两个点的重叠处,于是虫洞就如此这般奇迹诞生了。换言之,宇航员就像那支笔一样可以穿越时空,或前穿或后穿,如图

你相信上述的科学吗?事实上,穿越时空的假设是建立在一系列假设的逻辑推理假想而已,不是真的:

  1. 假设的时空不可折叠。爱因斯坦假设的时空不是“二维”之面而是“三维”之体,你如何折叠一个“三维”体??

  2. 时空本身就是个假设。爱因斯坦在数学操作中假设时间为另一个空间维度而由此发明了时空的概念。现实中时间只是空间变化的历史,并不是实际的存在,换言之,时间是虚假的意念存在而不是真实的空间存在。

  3. 几何的空间维度本身也是个数学假设,事实上我们一直就生活在一个多维的空间。维度也就是空间的走向,所谓的几何维度实为一个凭空捏造的理念,基于笛卡尔为计算空间点位置的方便而发明的坐标系。维度的定义来自欧几里德几何,零维被定义为占零空间的点、一维占零宽度的线、二维占零厚度的面。现实中有谁真见过不占空间的点、无宽的线和无厚的面??可见,

  4. 几何就是假的,而爱因斯坦的相对论正是以几何为数学基础的理论。

综上所述,艺术上的穿越基于了科学上的多重连环假设,其中没有一环得到过实证。任何没有实证的假设都不是真的、都不靠谱。

其次,除了通过一系列假设而凭空捏造的虫洞,《星际穿越》的另一个科学假设就是黑洞。由于黑洞引力特大,接近黑洞的生命就相对活得特长,与之相应的时间也相对变得特慢,因此远航到黑洞附近的宇航员相对地球而言大大“延长”了生命,他们在黑洞附近活过的几十个小时相当于在地球上的几十年。显然,该剧的科学顾问、理论物理学家Kip Thorne(故意)忘记了计算由于引力增加而引起的宇航员的体重增加,换言之,按剧情接近黑洞,Cooper等的体重起码要增加相当于他在地球体重的好几万倍,那么,剧中的Cooper等如何能轻松地生活和作业而没被自身的体重压死?

最后,当然就是Brand教授几十年解决不了,由Cooper的天才女儿Murph解出的那个万能方程公式,完美诠释了万有引力的奥妙,继而成功地把拣选而数量有限的幸存者带离了末日降临的地球。什么叫万能公式或称万物理论?就是完美结合宏观相对论和微观量子力学以后推演出的全能全智的数学公式,再加用于拯救世界的全善。哲学上,相对论是决定论而量子力学是随机论,祈求两个本质上矛盾的理论实现统一并属实,理论上和实际上的难度相当于论证上帝的存在,科学与神学的完美结合。

好莱坞的科幻实为宗教,现代科学的发展不但无碍宗教,反而为宗教神学提供了更多的假设、更广的假想,因为科学的前身就是古希腊的形而上学,而形而上学与神学共享了同一个超自然的思维。就穿越科幻片而言,我认为2016年的《降临》更有创新性(参见我的回答)。做科学的确需要创新的想象和假设,做神学也一样。如何区别神学和科学、其中再夹个形而上学,正确引导青少年热爱科学、识别神学?这是项技术挑战性很强的教育任务。

据我了解以《星际穿越》中的那种科技水平,人类还无法进行恒星际旅行。因为那时的人类没有能力建造出亚光速飞船,也无法制造出虫洞。虽然宜居的系外行星可能就在几十或者几百光年之外,但这个距离还是太遥远了,那时的人类无法在短时间内飞到。

但“意外”出现的虫洞让《星际穿越》中的人类有了希望,因为虫洞可以通往非常遥远的宇宙。于是,借助虫洞,人类得以实现跨度达到100亿光年的星系际穿越。最终,人类不但找到了控制引力的方法,而且还找到了新的宜居星球。 我觉得人类总有一天会把活动范围扩到太阳系外,但是交通工具绝对不是火箭飞船吧?首先它的速度都难以达到光年,就算达到光年,外出一趟也不容易。况且人体在高速运动还能是一个整体吗?好多变因都好难预测。更加希望编剧的脑洞开大到主角的所靠我们所未曾见过的交通工具。毕竟我们都已经信息时代,分子时代,或许人类可以先分解然后利用分子信息传递来到另一个星球后在重组?

确切的问法应该是该剧有哪些不靠谱的科学假设?与宗教相似,艺术求创新不求论证或实证,没有错误可言,大凡能卖座的艺术和宗教肯定错不了。

该剧力求科学严谨,还请了个理论天体物理学家做技术顾问。天体物理学算得上是一门最有代表性的科学,科学做学问的基本思路就是理论假设,接着对理论进行论证或实证,实际上就是古希腊人发明的形而上学逻辑论证。扫读了下已发表的回答,不妨补充下《星际穿越》的三个最基本的艺术夸张和科学误导,虫洞、黑洞和万能公式。

首先,虫洞是个理论假设,基于爱因斯坦的相对论。相对论推断时空可以弯曲,虫洞就是基于时空弯曲这个推断的进一步假设。理论上在表达相对论时为了视觉方便,“三维”之体的时空往往画成“二维”的面,如图,

剧中科学家Romilly用一张纸和一支笔对虫洞的生成做了个精彩的演示。那张纸代表爱因斯坦的“二维”时空,他先用笔在纸面画上间距分开的两个点,分别代表了前后两个任意的时空,比如,今日十二点正的地球相对一万年前半夜十二点的遥远的某星系某星球。既然面可以假设弯曲,那么面也可以假设折叠。于是,Romilly将纸弯曲并对折,使原来前后分开的两个时空点相互接近甚至接触。他再用笔刺穿了纸上两个点的重叠处,于是虫洞就如此这般奇迹诞生了。换言之,宇航员就像那支笔一样可以穿越时空,或前穿或后穿,如图

你相信上述的科学吗?事实上,穿越时空的假设是建立在一系列假设的逻辑推理假想而已,不是真的:

  1. 假设的时空不可折叠。爱因斯坦假设的时空不是“二维”之面而是“三维”之体,你如何折叠一个“三维”体??

  2. 时空本身就是个假设。爱因斯坦在数学操作中假设时间为另一个空间维度而由此发明了时空的概念。现实中时间只是空间变化的历史,并不是实际的存在,换言之,时间是虚假的意念存在而不是真实的空间存在。

  3. 几何的空间维度本身也是个数学假设,事实上我们一直就生活在一个多维的空间。维度也就是空间的走向,所谓的几何维度实为一个凭空捏造的理念,基于笛卡尔为计算空间点位置的方便而发明的坐标系。维度的定义来自欧几里德几何,零维被定义为占零空间的点、一维占零宽度的线、二维占零厚度的面。现实中有谁真见过不占空间的点、无宽的线和无厚的面??可见,

  4. 几何就是假的,而爱因斯坦的相对论正是以几何为数学基础的理论。

综上所述,艺术上的穿越基于了科学上的多重连环假设,其中没有一环得到过实证。任何没有实证的假设都不是真的、都不靠谱。

其次,除了通过一系列假设而凭空捏造的虫洞,《星际穿越》的另一个科学假设就是黑洞。由于黑洞引力特大,接近黑洞的生命就相对活得特长,与之相应的时间也相对变得特慢,因此远航到黑洞附近的宇航员相对地球而言大大“延长”了生命,他们在黑洞附近活过的几十个小时相当于在地球上的几十年。显然,该剧的科学顾问、理论物理学家Kip Thorne(故意)忘记了计算由于引力增加而引起的宇航员的体重增加,换言之,按剧情接近黑洞,Cooper等的体重起码要增加相当于他在地球体重的好几万倍,那么,剧中的Cooper等如何能轻松地生活和作业而没被自身的体重压死?

最后,当然就是Brand教授几十年解决不了,由Cooper的天才女儿Murph解出的那个万能方程公式,完美诠释了万有引力的奥妙,继而成功地把拣选而数量有限的幸存者带离了末日降临的地球。什么叫万能公式或称万物理论?就是完美结合宏观相对论和微观量子力学以后推演出的全能全智的数学公式,再加用于拯救世界的全善。哲学上,相对论是决定论而量子力学是随机论,祈求两个本质上矛盾的理论实现统一并属实,理论上和实际上的难度相当于论证上帝的存在,科学与神学的完美结合。

好莱坞的科幻实为宗教,现代科学的发展不但无碍宗教,反而为宗教神学提供了更多的假设、更广的假想,因为科学的前身就是古希腊的形而上学,而形而上学与神学共享了同一个超自然的思维。就穿越科幻片而言,我认为2016年的《降临》更有创新性(参见我的回答)。做科学的确需要创新的想象和假设,做神学也一样。如何区别神学和科学、其中再夹个形而上学,正确引导青少年热爱科学、识别神学?这是项技术挑战性很强的教育任务。

北大教授说:我拒绝回答,那是我的权利!

确切的问法应该是该剧有哪些不靠谱的科学假设?与宗教相似,艺术求创新不求论证或实证,没有错误可言,大凡能卖座的艺术和宗教肯定错不了。

该剧力求科学严谨,还请了个理论天体物理学家做技术顾问。天体物理学算得上是一门最有代表性的科学,科学做学问的基本思路就是理论假设,接着对理论进行论证或实证,实际上就是古希腊人发明的形而上学逻辑论证。扫读了下已发表的回答,不妨补充下《星际穿越》的三个最基本的艺术夸张和科学误导,虫洞、黑洞和万能公式。

首先,虫洞是个理论假设,基于爱因斯坦的相对论。相对论推断时空可以弯曲,虫洞就是基于时空弯曲这个推断的进一步假设。理论上在表达相对论时为了视觉方便,“三维”之体的时空往往画成“二维”的面,如图,

剧中科学家Romilly用一张纸和一支笔对虫洞的生成做了个精彩的演示。那张纸代表爱因斯坦的“二维”时空,他先用笔在纸面画上间距分开的两个点,分别代表了前后两个任意的时空,比如,今日十二点正的地球相对一万年前半夜十二点的遥远的某星系某星球。既然面可以假设弯曲,那么面也可以假设折叠。于是,Romilly将纸弯曲并对折,使原来前后分开的两个时空点相互接近甚至接触。他再用笔刺穿了纸上两个点的重叠处,于是虫洞就如此这般奇迹诞生了。换言之,宇航员就像那支笔一样可以穿越时空,或前穿或后穿,如图

你相信上述的科学吗?事实上,穿越时空的假设是建立在一系列假设的逻辑推理假想而已,不是真的:

  1. 假设的时空不可折叠。爱因斯坦假设的时空不是“二维”之面而是“三维”之体,你如何折叠一个“三维”体??

  2. 时空本身就是个假设。爱因斯坦在数学操作中假设时间为另一个空间维度而由此发明了时空的概念。现实中时间只是空间变化的历史,并不是实际的存在,换言之,时间是虚假的意念存在而不是真实的空间存在。

  3. 几何的空间维度本身也是个数学假设,事实上我们一直就生活在一个多维的空间。维度也就是空间的走向,所谓的几何维度实为一个凭空捏造的理念,基于笛卡尔为计算空间点位置的方便而发明的坐标系。维度的定义来自欧几里德几何,零维被定义为占零空间的点、一维占零宽度的线、二维占零厚度的面。现实中有谁真见过不占空间的点、无宽的线和无厚的面??可见,

  4. 几何就是假的,而爱因斯坦的相对论正是以几何为数学基础的理论。

综上所述,艺术上的穿越基于了科学上的多重连环假设,其中没有一环得到过实证。任何没有实证的假设都不是真的、都不靠谱。

其次,除了通过一系列假设而凭空捏造的虫洞,《星际穿越》的另一个科学假设就是黑洞。由于黑洞引力特大,接近黑洞的生命就相对活得特长,与之相应的时间也相对变得特慢,因此远航到黑洞附近的宇航员相对地球而言大大“延长”了生命,他们在黑洞附近活过的几十个小时相当于在地球上的几十年。显然,该剧的科学顾问、理论物理学家Kip Thorne(故意)忘记了计算由于引力增加而引起的宇航员的体重增加,换言之,按剧情接近黑洞,Cooper等的体重起码要增加相当于他在地球体重的好几万倍,那么,剧中的Cooper等如何能轻松地生活和作业而没被自身的体重压死?

最后,当然就是Brand教授几十年解决不了,由Cooper的天才女儿Murph解出的那个万能方程公式,完美诠释了万有引力的奥妙,继而成功地把拣选而数量有限的幸存者带离了末日降临的地球。什么叫万能公式或称万物理论?就是完美结合宏观相对论和微观量子力学以后推演出的全能全智的数学公式,再加用于拯救世界的全善。哲学上,相对论是决定论而量子力学是随机论,祈求两个本质上矛盾的理论实现统一并属实,理论上和实际上的难度相当于论证上帝的存在,科学与神学的完美结合。

好莱坞的科幻实为宗教,现代科学的发展不但无碍宗教,反而为宗教神学提供了更多的假设、更广的假想,因为科学的前身就是古希腊的形而上学,而形而上学与神学共享了同一个超自然的思维。就穿越科幻片而言,我认为2016年的《降临》更有创新性(参见我的回答)。做科学的确需要创新的想象和假设,做神学也一样。如何区别神学和科学、其中再夹个形而上学,正确引导青少年热爱科学、识别神学?这是项技术挑战性很强的教育任务。

简单的说,《星际穿越》主要讲的就是,人类面对日益恶化的环境,于是准备寻找其他适宜居住的星球,通过木星旁的一个虫洞,人类穿越到距离地球很远的一个星系,在对于一个又一个的星球确认不适合居住后,被未来的人类传输了“公式”,解开了困扰人类的难题,于是人类成功的度过了这次难关。

如果说剧情的话,主要在叛变、在超立方体内传送知识这两处剧情性比较强,在别的电影情节上,主要是通过人们对于宇宙的极限思维,打造了非常棒的视觉效果。

例如因为巨大的潮汐力而产生的上百米的高浪,在超立方体内类似于“无限”的场景,都让人无比的震撼。

并且在剧情的最后,年轻依旧的库珀,来到自己已经白发苍苍的女儿面前,电影为我们打造了因为相对论关系而造成的时间偏差的场景,让我们对于科学的认知,无不感到惊奇。


我是希言,欢迎关注我了解更多科幻电影资讯,谢谢。

确切的问法应该是该剧有哪些不靠谱的科学假设?与宗教相似,艺术求创新不求论证或实证,没有错误可言,大凡能卖座的艺术和宗教肯定错不了。

该剧力求科学严谨,还请了个理论天体物理学家做技术顾问。天体物理学算得上是一门最有代表性的科学,科学做学问的基本思路就是理论假设,接着对理论进行论证或实证,实际上就是古希腊人发明的形而上学逻辑论证。扫读了下已发表的回答,不妨补充下《星际穿越》的三个最基本的艺术夸张和科学误导,虫洞、黑洞和万能公式。

首先,虫洞是个理论假设,基于爱因斯坦的相对论。相对论推断时空可以弯曲,虫洞就是基于时空弯曲这个推断的进一步假设。理论上在表达相对论时为了视觉方便,“三维”之体的时空往往画成“二维”的面,如图,

剧中科学家Romilly用一张纸和一支笔对虫洞的生成做了个精彩的演示。那张纸代表爱因斯坦的“二维”时空,他先用笔在纸面画上间距分开的两个点,分别代表了前后两个任意的时空,比如,今日十二点正的地球相对一万年前半夜十二点的遥远的某星系某星球。既然面可以假设弯曲,那么面也可以假设折叠。于是,Romilly将纸弯曲并对折,使原来前后分开的两个时空点相互接近甚至接触。他再用笔刺穿了纸上两个点的重叠处,于是虫洞就如此这般奇迹诞生了。换言之,宇航员就像那支笔一样可以穿越时空,或前穿或后穿,如图

你相信上述的科学吗?事实上,穿越时空的假设是建立在一系列假设的逻辑推理假想而已,不是真的:

  1. 假设的时空不可折叠。爱因斯坦假设的时空不是“二维”之面而是“三维”之体,你如何折叠一个“三维”体??

  2. 时空本身就是个假设。爱因斯坦在数学操作中假设时间为另一个空间维度而由此发明了时空的概念。现实中时间只是空间变化的历史,并不是实际的存在,换言之,时间是虚假的意念存在而不是真实的空间存在。

  3. 几何的空间维度本身也是个数学假设,事实上我们一直就生活在一个多维的空间。维度也就是空间的走向,所谓的几何维度实为一个凭空捏造的理念,基于笛卡尔为计算空间点位置的方便而发明的坐标系。维度的定义来自欧几里德几何,零维被定义为占零空间的点、一维占零宽度的线、二维占零厚度的面。现实中有谁真见过不占空间的点、无宽的线和无厚的面??可见,

  4. 几何就是假的,而爱因斯坦的相对论正是以几何为数学基础的理论。

综上所述,艺术上的穿越基于了科学上的多重连环假设,其中没有一环得到过实证。任何没有实证的假设都不是真的、都不靠谱。

其次,除了通过一系列假设而凭空捏造的虫洞,《星际穿越》的另一个科学假设就是黑洞。由于黑洞引力特大,接近黑洞的生命就相对活得特长,与之相应的时间也相对变得特慢,因此远航到黑洞附近的宇航员相对地球而言大大“延长”了生命,他们在黑洞附近活过的几十个小时相当于在地球上的几十年。显然,该剧的科学顾问、理论物理学家Kip Thorne(故意)忘记了计算由于引力增加而引起的宇航员的体重增加,换言之,按剧情接近黑洞,Cooper等的体重起码要增加相当于他在地球体重的好几万倍,那么,剧中的Cooper等如何能轻松地生活和作业而没被自身的体重压死?

最后,当然就是Brand教授几十年解决不了,由Cooper的天才女儿Murph解出的那个万能方程公式,完美诠释了万有引力的奥妙,继而成功地把拣选而数量有限的幸存者带离了末日降临的地球。什么叫万能公式或称万物理论?就是完美结合宏观相对论和微观量子力学以后推演出的全能全智的数学公式,再加用于拯救世界的全善。哲学上,相对论是决定论而量子力学是随机论,祈求两个本质上矛盾的理论实现统一并属实,理论上和实际上的难度相当于论证上帝的存在,科学与神学的完美结合。

好莱坞的科幻实为宗教,现代科学的发展不但无碍宗教,反而为宗教神学提供了更多的假设、更广的假想,因为科学的前身就是古希腊的形而上学,而形而上学与神学共享了同一个超自然的思维。就穿越科幻片而言,我认为2016年的《降临》更有创新性(参见我的回答)。做科学的确需要创新的想象和假设,做神学也一样。如何区别神学和科学、其中再夹个形而上学,正确引导青少年热爱科学、识别神学?这是项技术挑战性很强的教育任务。

简单的说,《星际穿越》主要讲的就是,人类面对日益恶化的环境,于是准备寻找其他适宜居住的星球,通过木星旁的一个虫洞,人类穿越到距离地球很远的一个星系,在对于一个又一个的星球确认不适合居住后,被未来的人类传输了“公式”,解开了困扰人类的难题,于是人类成功的度过了这次难关。

如果说剧情的话,主要在叛变、在超立方体内传送知识这两处剧情性比较强,在别的电影情节上,主要是通过人们对于宇宙的极限思维,打造了非常棒的视觉效果。

例如因为巨大的潮汐力而产生的上百米的高浪,在超立方体内类似于“无限”的场景,都让人无比的震撼。

并且在剧情的最后,年轻依旧的库珀,来到自己已经白发苍苍的女儿面前,电影为我们打造了因为相对论关系而造成的时间偏差的场景,让我们对于科学的认知,无不感到惊奇。


我是希言,欢迎关注我了解更多科幻电影资讯,谢谢。

确切的问法应该是该剧有哪些不靠谱的科学假设?与宗教相似,艺术求创新不求论证或实证,没有错误可言,大凡能卖座的艺术和宗教肯定错不了。

该剧力求科学严谨,还请了个理论天体物理学家做技术顾问。天体物理学算得上是一门最有代表性的科学,科学做学问的基本思路就是理论假设,接着对理论进行论证或实证,实际上就是古希腊人发明的形而上学逻辑论证。扫读了下已发表的回答,不妨补充下《星际穿越》的三个最基本的艺术夸张和科学误导,虫洞、黑洞和万能公式。

首先,虫洞是个理论假设,基于爱因斯坦的相对论。相对论推断时空可以弯曲,虫洞就是基于时空弯曲这个推断的进一步假设。理论上在表达相对论时为了视觉方便,“三维”之体的时空往往画成“二维”的面,如图,

剧中科学家Romilly用一张纸和一支笔对虫洞的生成做了个精彩的演示。那张纸代表爱因斯坦的“二维”时空,他先用笔在纸面画上间距分开的两个点,分别代表了前后两个任意的时空,比如,今日十二点正的地球相对一万年前半夜十二点的遥远的某星系某星球。既然面可以假设弯曲,那么面也可以假设折叠。于是,Romilly将纸弯曲并对折,使原来前后分开的两个时空点相互接近甚至接触。他再用笔刺穿了纸上两个点的重叠处,于是虫洞就如此这般奇迹诞生了。换言之,宇航员就像那支笔一样可以穿越时空,或前穿或后穿,如图

你相信上述的科学吗?事实上,穿越时空的假设是建立在一系列假设的逻辑推理假想而已,不是真的:

  1. 假设的时空不可折叠。爱因斯坦假设的时空不是“二维”之面而是“三维”之体,你如何折叠一个“三维”体??

  2. 时空本身就是个假设。爱因斯坦在数学操作中假设时间为另一个空间维度而由此发明了时空的概念。现实中时间只是空间变化的历史,并不是实际的存在,换言之,时间是虚假的意念存在而不是真实的空间存在。

  3. 几何的空间维度本身也是个数学假设,事实上我们一直就生活在一个多维的空间。维度也就是空间的走向,所谓的几何维度实为一个凭空捏造的理念,基于笛卡尔为计算空间点位置的方便而发明的坐标系。维度的定义来自欧几里德几何,零维被定义为占零空间的点、一维占零宽度的线、二维占零厚度的面。现实中有谁真见过不占空间的点、无宽的线和无厚的面??可见,

  4. 几何就是假的,而爱因斯坦的相对论正是以几何为数学基础的理论。

综上所述,艺术上的穿越基于了科学上的多重连环假设,其中没有一环得到过实证。任何没有实证的假设都不是真的、都不靠谱。

其次,除了通过一系列假设而凭空捏造的虫洞,《星际穿越》的另一个科学假设就是黑洞。由于黑洞引力特大,接近黑洞的生命就相对活得特长,与之相应的时间也相对变得特慢,因此远航到黑洞附近的宇航员相对地球而言大大“延长”了生命,他们在黑洞附近活过的几十个小时相当于在地球上的几十年。显然,该剧的科学顾问、理论物理学家Kip Thorne(故意)忘记了计算由于引力增加而引起的宇航员的体重增加,换言之,按剧情接近黑洞,Cooper等的体重起码要增加相当于他在地球体重的好几万倍,那么,剧中的Cooper等如何能轻松地生活和作业而没被自身的体重压死?

最后,当然就是Brand教授几十年解决不了,由Cooper的天才女儿Murph解出的那个万能方程公式,完美诠释了万有引力的奥妙,继而成功地把拣选而数量有限的幸存者带离了末日降临的地球。什么叫万能公式或称万物理论?就是完美结合宏观相对论和微观量子力学以后推演出的全能全智的数学公式,再加用于拯救世界的全善。哲学上,相对论是决定论而量子力学是随机论,祈求两个本质上矛盾的理论实现统一并属实,理论上和实际上的难度相当于论证上帝的存在,科学与神学的完美结合。

好莱坞的科幻实为宗教,现代科学的发展不但无碍宗教,反而为宗教神学提供了更多的假设、更广的假想,因为科学的前身就是古希腊的形而上学,而形而上学与神学共享了同一个超自然的思维。就穿越科幻片而言,我认为2016年的《降临》更有创新性(参见我的回答)。做科学的确需要创新的想象和假设,做神学也一样。如何区别神学和科学、其中再夹个形而上学,正确引导青少年热爱科学、识别神学?这是项技术挑战性很强的教育任务。

没有,星际穿越是最伟大的科幻电影,没有之一

确切的问法应该是该剧有哪些不靠谱的科学假设?与宗教相似,艺术求创新不求论证或实证,没有错误可言,大凡能卖座的艺术和宗教肯定错不了。

该剧力求科学严谨,还请了个理论天体物理学家做技术顾问。天体物理学算得上是一门最有代表性的科学,科学做学问的基本思路就是理论假设,接着对理论进行论证或实证,实际上就是古希腊人发明的形而上学逻辑论证。扫读了下已发表的回答,不妨补充下《星际穿越》的三个最基本的艺术夸张和科学误导,虫洞、黑洞和万能公式。

首先,虫洞是个理论假设,基于爱因斯坦的相对论。相对论推断时空可以弯曲,虫洞就是基于时空弯曲这个推断的进一步假设。理论上在表达相对论时为了视觉方便,“三维”之体的时空往往画成“二维”的面,如图,

剧中科学家Romilly用一张纸和一支笔对虫洞的生成做了个精彩的演示。那张纸代表爱因斯坦的“二维”时空,他先用笔在纸面画上间距分开的两个点,分别代表了前后两个任意的时空,比如,今日十二点正的地球相对一万年前半夜十二点的遥远的某星系某星球。既然面可以假设弯曲,那么面也可以假设折叠。于是,Romilly将纸弯曲并对折,使原来前后分开的两个时空点相互接近甚至接触。他再用笔刺穿了纸上两个点的重叠处,于是虫洞就如此这般奇迹诞生了。换言之,宇航员就像那支笔一样可以穿越时空,或前穿或后穿,如图

你相信上述的科学吗?事实上,穿越时空的假设是建立在一系列假设的逻辑推理假想而已,不是真的:

  1. 假设的时空不可折叠。爱因斯坦假设的时空不是“二维”之面而是“三维”之体,你如何折叠一个“三维”体??

  2. 时空本身就是个假设。爱因斯坦在数学操作中假设时间为另一个空间维度而由此发明了时空的概念。现实中时间只是空间变化的历史,并不是实际的存在,换言之,时间是虚假的意念存在而不是真实的空间存在。

  3. 几何的空间维度本身也是个数学假设,事实上我们一直就生活在一个多维的空间。维度也就是空间的走向,所谓的几何维度实为一个凭空捏造的理念,基于笛卡尔为计算空间点位置的方便而发明的坐标系。维度的定义来自欧几里德几何,零维被定义为占零空间的点、一维占零宽度的线、二维占零厚度的面。现实中有谁真见过不占空间的点、无宽的线和无厚的面??可见,

  4. 几何就是假的,而爱因斯坦的相对论正是以几何为数学基础的理论。

综上所述,艺术上的穿越基于了科学上的多重连环假设,其中没有一环得到过实证。任何没有实证的假设都不是真的、都不靠谱。

其次,除了通过一系列假设而凭空捏造的虫洞,《星际穿越》的另一个科学假设就是黑洞。由于黑洞引力特大,接近黑洞的生命就相对活得特长,与之相应的时间也相对变得特慢,因此远航到黑洞附近的宇航员相对地球而言大大“延长”了生命,他们在黑洞附近活过的几十个小时相当于在地球上的几十年。显然,该剧的科学顾问、理论物理学家Kip Thorne(故意)忘记了计算由于引力增加而引起的宇航员的体重增加,换言之,按剧情接近黑洞,Cooper等的体重起码要增加相当于他在地球体重的好几万倍,那么,剧中的Cooper等如何能轻松地生活和作业而没被自身的体重压死?

最后,当然就是Brand教授几十年解决不了,由Cooper的天才女儿Murph解出的那个万能方程公式,完美诠释了万有引力的奥妙,继而成功地把拣选而数量有限的幸存者带离了末日降临的地球。什么叫万能公式或称万物理论?就是完美结合宏观相对论和微观量子力学以后推演出的全能全智的数学公式,再加用于拯救世界的全善。哲学上,相对论是决定论而量子力学是随机论,祈求两个本质上矛盾的理论实现统一并属实,理论上和实际上的难度相当于论证上帝的存在,科学与神学的完美结合。

好莱坞的科幻实为宗教,现代科学的发展不但无碍宗教,反而为宗教神学提供了更多的假设、更广的假想,因为科学的前身就是古希腊的形而上学,而形而上学与神学共享了同一个超自然的思维。就穿越科幻片而言,我认为2016年的《降临》更有创新性(参见我的回答)。做科学的确需要创新的想象和假设,做神学也一样。如何区别神学和科学、其中再夹个形而上学,正确引导青少年热爱科学、识别神学?这是项技术挑战性很强的教育任务。

在未来某个时间的地球上,气候和环境急剧恶化,地球正面临一场严重的农业灾难,农作物难以种植导致人类的粮食严重紧缺。库珀曾是一位飞行员、工程师,如今这个单身爸爸与一对儿女在一座农场里生活。

就在儿女发现一系列奇怪的征兆之后,库珀受到美国航天局邀请被派往太空执行一个艰巨的任务。

原来,地球已濒临灭亡,人类需要紧急寻找新的居住地。库珀与女科学家艾米莉亚及其他两位科学家、两个机器人一同出发,他们要穿越“虫洞”到另一个空间去找寻有可能让人类居住的星球。

作为拯救人类未来计划的一员,库珀被迫离开深爱的女儿和儿子。一晃许多年过去,库珀的女儿长大后竟然也做了一名太空科学家。在库珀女儿的心里一直有一个念头——也许在另外一个时空,能和父亲再次重逢……

世界在历经极端气候与粮食危机,地球濒临末日之际,一位电机工程师(马修·麦康纳 Matthew McConaughey 饰)与一群专业研究者还有顶尖太空人(安妮·海瑟薇 Anne Hathaway 饰),扛起人类史上最重要的任务,越过已知的银河,在星际间寻找未来出路。同时必须先割舍无法与家人见面的亲情牵绊,在爱与勇气、生存与挑战中,跨越星际拯救人类……慢慢看,这电影还可以


确切的问法应该是该剧有哪些不靠谱的科学假设?与宗教相似,艺术求创新不求论证或实证,没有错误可言,大凡能卖座的艺术和宗教肯定错不了。

该剧力求科学严谨,还请了个理论天体物理学家做技术顾问。天体物理学算得上是一门最有代表性的科学,科学做学问的基本思路就是理论假设,接着对理论进行论证或实证,实际上就是古希腊人发明的形而上学逻辑论证。扫读了下已发表的回答,不妨补充下《星际穿越》的三个最基本的艺术夸张和科学误导,虫洞、黑洞和万能公式。

首先,虫洞是个理论假设,基于爱因斯坦的相对论。相对论推断时空可以弯曲,虫洞就是基于时空弯曲这个推断的进一步假设。理论上在表达相对论时为了视觉方便,“三维”之体的时空往往画成“二维”的面,如图,

剧中科学家Romilly用一张纸和一支笔对虫洞的生成做了个精彩的演示。那张纸代表爱因斯坦的“二维”时空,他先用笔在纸面画上间距分开的两个点,分别代表了前后两个任意的时空,比如,今日十二点正的地球相对一万年前半夜十二点的遥远的某星系某星球。既然面可以假设弯曲,那么面也可以假设折叠。于是,Romilly将纸弯曲并对折,使原来前后分开的两个时空点相互接近甚至接触。他再用笔刺穿了纸上两个点的重叠处,于是虫洞就如此这般奇迹诞生了。换言之,宇航员就像那支笔一样可以穿越时空,或前穿或后穿,如图

你相信上述的科学吗?事实上,穿越时空的假设是建立在一系列假设的逻辑推理假想而已,不是真的:

  1. 假设的时空不可折叠。爱因斯坦假设的时空不是“二维”之面而是“三维”之体,你如何折叠一个“三维”体??

  2. 时空本身就是个假设。爱因斯坦在数学操作中假设时间为另一个空间维度而由此发明了时空的概念。现实中时间只是空间变化的历史,并不是实际的存在,换言之,时间是虚假的意念存在而不是真实的空间存在。

  3. 几何的空间维度本身也是个数学假设,事实上我们一直就生活在一个多维的空间。维度也就是空间的走向,所谓的几何维度实为一个凭空捏造的理念,基于笛卡尔为计算空间点位置的方便而发明的坐标系。维度的定义来自欧几里德几何,零维被定义为占零空间的点、一维占零宽度的线、二维占零厚度的面。现实中有谁真见过不占空间的点、无宽的线和无厚的面??可见,

  4. 几何就是假的,而爱因斯坦的相对论正是以几何为数学基础的理论。

综上所述,艺术上的穿越基于了科学上的多重连环假设,其中没有一环得到过实证。任何没有实证的假设都不是真的、都不靠谱。

其次,除了通过一系列假设而凭空捏造的虫洞,《星际穿越》的另一个科学假设就是黑洞。由于黑洞引力特大,接近黑洞的生命就相对活得特长,与之相应的时间也相对变得特慢,因此远航到黑洞附近的宇航员相对地球而言大大“延长”了生命,他们在黑洞附近活过的几十个小时相当于在地球上的几十年。显然,该剧的科学顾问、理论物理学家Kip Thorne(故意)忘记了计算由于引力增加而引起的宇航员的体重增加,换言之,按剧情接近黑洞,Cooper等的体重起码要增加相当于他在地球体重的好几万倍,那么,剧中的Cooper等如何能轻松地生活和作业而没被自身的体重压死?

最后,当然就是Brand教授几十年解决不了,由Cooper的天才女儿Murph解出的那个万能方程公式,完美诠释了万有引力的奥妙,继而成功地把拣选而数量有限的幸存者带离了末日降临的地球。什么叫万能公式或称万物理论?就是完美结合宏观相对论和微观量子力学以后推演出的全能全智的数学公式,再加用于拯救世界的全善。哲学上,相对论是决定论而量子力学是随机论,祈求两个本质上矛盾的理论实现统一并属实,理论上和实际上的难度相当于论证上帝的存在,科学与神学的完美结合。

好莱坞的科幻实为宗教,现代科学的发展不但无碍宗教,反而为宗教神学提供了更多的假设、更广的假想,因为科学的前身就是古希腊的形而上学,而形而上学与神学共享了同一个超自然的思维。就穿越科幻片而言,我认为2016年的《降临》更有创新性(参见我的回答)。做科学的确需要创新的想象和假设,做神学也一样。如何区别神学和科学、其中再夹个形而上学,正确引导青少年热爱科学、识别神学?这是项技术挑战性很强的教育任务。

这就是我的答案


确切的问法应该是该剧有哪些不靠谱的科学假设?与宗教相似,艺术求创新不求论证或实证,没有错误可言,大凡能卖座的艺术和宗教肯定错不了。

该剧力求科学严谨,还请了个理论天体物理学家做技术顾问。天体物理学算得上是一门最有代表性的科学,科学做学问的基本思路就是理论假设,接着对理论进行论证或实证,实际上就是古希腊人发明的形而上学逻辑论证。扫读了下已发表的回答,不妨补充下《星际穿越》的三个最基本的艺术夸张和科学误导,虫洞、黑洞和万能公式。

首先,虫洞是个理论假设,基于爱因斯坦的相对论。相对论推断时空可以弯曲,虫洞就是基于时空弯曲这个推断的进一步假设。理论上在表达相对论时为了视觉方便,“三维”之体的时空往往画成“二维”的面,如图,

剧中科学家Romilly用一张纸和一支笔对虫洞的生成做了个精彩的演示。那张纸代表爱因斯坦的“二维”时空,他先用笔在纸面画上间距分开的两个点,分别代表了前后两个任意的时空,比如,今日十二点正的地球相对一万年前半夜十二点的遥远的某星系某星球。既然面可以假设弯曲,那么面也可以假设折叠。于是,Romilly将纸弯曲并对折,使原来前后分开的两个时空点相互接近甚至接触。他再用笔刺穿了纸上两个点的重叠处,于是虫洞就如此这般奇迹诞生了。换言之,宇航员就像那支笔一样可以穿越时空,或前穿或后穿,如图

你相信上述的科学吗?事实上,穿越时空的假设是建立在一系列假设的逻辑推理假想而已,不是真的:

  1. 假设的时空不可折叠。爱因斯坦假设的时空不是“二维”之面而是“三维”之体,你如何折叠一个“三维”体??

  2. 时空本身就是个假设。爱因斯坦在数学操作中假设时间为另一个空间维度而由此发明了时空的概念。现实中时间只是空间变化的历史,并不是实际的存在,换言之,时间是虚假的意念存在而不是真实的空间存在。

  3. 几何的空间维度本身也是个数学假设,事实上我们一直就生活在一个多维的空间。维度也就是空间的走向,所谓的几何维度实为一个凭空捏造的理念,基于笛卡尔为计算空间点位置的方便而发明的坐标系。维度的定义来自欧几里德几何,零维被定义为占零空间的点、一维占零宽度的线、二维占零厚度的面。现实中有谁真见过不占空间的点、无宽的线和无厚的面??可见,

  4. 几何就是假的,而爱因斯坦的相对论正是以几何为数学基础的理论。

综上所述,艺术上的穿越基于了科学上的多重连环假设,其中没有一环得到过实证。任何没有实证的假设都不是真的、都不靠谱。

其次,除了通过一系列假设而凭空捏造的虫洞,《星际穿越》的另一个科学假设就是黑洞。由于黑洞引力特大,接近黑洞的生命就相对活得特长,与之相应的时间也相对变得特慢,因此远航到黑洞附近的宇航员相对地球而言大大“延长”了生命,他们在黑洞附近活过的几十个小时相当于在地球上的几十年。显然,该剧的科学顾问、理论物理学家Kip Thorne(故意)忘记了计算由于引力增加而引起的宇航员的体重增加,换言之,按剧情接近黑洞,Cooper等的体重起码要增加相当于他在地球体重的好几万倍,那么,剧中的Cooper等如何能轻松地生活和作业而没被自身的体重压死?

最后,当然就是Brand教授几十年解决不了,由Cooper的天才女儿Murph解出的那个万能方程公式,完美诠释了万有引力的奥妙,继而成功地把拣选而数量有限的幸存者带离了末日降临的地球。什么叫万能公式或称万物理论?就是完美结合宏观相对论和微观量子力学以后推演出的全能全智的数学公式,再加用于拯救世界的全善。哲学上,相对论是决定论而量子力学是随机论,祈求两个本质上矛盾的理论实现统一并属实,理论上和实际上的难度相当于论证上帝的存在,科学与神学的完美结合。

好莱坞的科幻实为宗教,现代科学的发展不但无碍宗教,反而为宗教神学提供了更多的假设、更广的假想,因为科学的前身就是古希腊的形而上学,而形而上学与神学共享了同一个超自然的思维。就穿越科幻片而言,我认为2016年的《降临》更有创新性(参见我的回答)。做科学的确需要创新的想象和假设,做神学也一样。如何区别神学和科学、其中再夹个形而上学,正确引导青少年热爱科学、识别神学?这是项技术挑战性很强的教育任务。

讨论这个没意思,还不如来说说电影里面的金手指,那个“他们”到底是谁?这帮人很扯淡,在木星还是火星上开个稳定的虫洞,还能把人丢进思维空间再抓出来,而且要准确地抓出来后丢到空间站附近,有这能耐说治疗不了地球的枯萎病我是不相信的。这跟神和蚂蚁的传说完全不是一个等级的故事。

确切的问法应该是该剧有哪些不靠谱的科学假设?与宗教相似,艺术求创新不求论证或实证,没有错误可言,大凡能卖座的艺术和宗教肯定错不了。

该剧力求科学严谨,还请了个理论天体物理学家做技术顾问。天体物理学算得上是一门最有代表性的科学,科学做学问的基本思路就是理论假设,接着对理论进行论证或实证,实际上就是古希腊人发明的形而上学逻辑论证。扫读了下已发表的回答,不妨补充下《星际穿越》的三个最基本的艺术夸张和科学误导,虫洞、黑洞和万能公式。

首先,虫洞是个理论假设,基于爱因斯坦的相对论。相对论推断时空可以弯曲,虫洞就是基于时空弯曲这个推断的进一步假设。理论上在表达相对论时为了视觉方便,“三维”之体的时空往往画成“二维”的面,如图,

剧中科学家Romilly用一张纸和一支笔对虫洞的生成做了个精彩的演示。那张纸代表爱因斯坦的“二维”时空,他先用笔在纸面画上间距分开的两个点,分别代表了前后两个任意的时空,比如,今日十二点正的地球相对一万年前半夜十二点的遥远的某星系某星球。既然面可以假设弯曲,那么面也可以假设折叠。于是,Romilly将纸弯曲并对折,使原来前后分开的两个时空点相互接近甚至接触。他再用笔刺穿了纸上两个点的重叠处,于是虫洞就如此这般奇迹诞生了。换言之,宇航员就像那支笔一样可以穿越时空,或前穿或后穿,如图

你相信上述的科学吗?事实上,穿越时空的假设是建立在一系列假设的逻辑推理假想而已,不是真的:

  1. 假设的时空不可折叠。爱因斯坦假设的时空不是“二维”之面而是“三维”之体,你如何折叠一个“三维”体??

  2. 时空本身就是个假设。爱因斯坦在数学操作中假设时间为另一个空间维度而由此发明了时空的概念。现实中时间只是空间变化的历史,并不是实际的存在,换言之,时间是虚假的意念存在而不是真实的空间存在。

  3. 几何的空间维度本身也是个数学假设,事实上我们一直就生活在一个多维的空间。维度也就是空间的走向,所谓的几何维度实为一个凭空捏造的理念,基于笛卡尔为计算空间点位置的方便而发明的坐标系。维度的定义来自欧几里德几何,零维被定义为占零空间的点、一维占零宽度的线、二维占零厚度的面。现实中有谁真见过不占空间的点、无宽的线和无厚的面??可见,

  4. 几何就是假的,而爱因斯坦的相对论正是以几何为数学基础的理论。

综上所述,艺术上的穿越基于了科学上的多重连环假设,其中没有一环得到过实证。任何没有实证的假设都不是真的、都不靠谱。

其次,除了通过一系列假设而凭空捏造的虫洞,《星际穿越》的另一个科学假设就是黑洞。由于黑洞引力特大,接近黑洞的生命就相对活得特长,与之相应的时间也相对变得特慢,因此远航到黑洞附近的宇航员相对地球而言大大“延长”了生命,他们在黑洞附近活过的几十个小时相当于在地球上的几十年。显然,该剧的科学顾问、理论物理学家Kip Thorne(故意)忘记了计算由于引力增加而引起的宇航员的体重增加,换言之,按剧情接近黑洞,Cooper等的体重起码要增加相当于他在地球体重的好几万倍,那么,剧中的Cooper等如何能轻松地生活和作业而没被自身的体重压死?

最后,当然就是Brand教授几十年解决不了,由Cooper的天才女儿Murph解出的那个万能方程公式,完美诠释了万有引力的奥妙,继而成功地把拣选而数量有限的幸存者带离了末日降临的地球。什么叫万能公式或称万物理论?就是完美结合宏观相对论和微观量子力学以后推演出的全能全智的数学公式,再加用于拯救世界的全善。哲学上,相对论是决定论而量子力学是随机论,祈求两个本质上矛盾的理论实现统一并属实,理论上和实际上的难度相当于论证上帝的存在,科学与神学的完美结合。

好莱坞的科幻实为宗教,现代科学的发展不但无碍宗教,反而为宗教神学提供了更多的假设、更广的假想,因为科学的前身就是古希腊的形而上学,而形而上学与神学共享了同一个超自然的思维。就穿越科幻片而言,我认为2016年的《降临》更有创新性(参见我的回答)。做科学的确需要创新的想象和假设,做神学也一样。如何区别神学和科学、其中再夹个形而上学,正确引导青少年热爱科学、识别神学?这是项技术挑战性很强的教育任务。

题目中的关键点说反了,并不是地球一小时,星球上过7年,而是地球7年,星球一小时。这里的时间差别可以用相对论所解释。

在广义相对论中,引力就会对时间造成影响(当然了,引力在相对论中被解释为时空弯曲的表现)。有这样一个结论,引力场强度越强的区域,时间流逝的就越慢。

比如地球上空卫星所在轨道位置的重力加速度就要低于地球表面,因此卫星的时间走的就比地球要快,再结合狭义相对论,所以GPS卫星每天要比地表快38微秒。

而电影中的星球名叫米勒行星,它是一颗围绕黑洞运转的星球,它所处位置的引力场强度要远大于地球表面,因此米勒星球的时间流逝就要慢于地球。终导致“地球过7年,星球才过一小时的情况”。

期待您的点评和关注哦!

确切的问法应该是该剧有哪些不靠谱的科学假设?与宗教相似,艺术求创新不求论证或实证,没有错误可言,大凡能卖座的艺术和宗教肯定错不了。

该剧力求科学严谨,还请了个理论天体物理学家做技术顾问。天体物理学算得上是一门最有代表性的科学,科学做学问的基本思路就是理论假设,接着对理论进行论证或实证,实际上就是古希腊人发明的形而上学逻辑论证。扫读了下已发表的回答,不妨补充下《星际穿越》的三个最基本的艺术夸张和科学误导,虫洞、黑洞和万能公式。

首先,虫洞是个理论假设,基于爱因斯坦的相对论。相对论推断时空可以弯曲,虫洞就是基于时空弯曲这个推断的进一步假设。理论上在表达相对论时为了视觉方便,“三维”之体的时空往往画成“二维”的面,如图,

剧中科学家Romilly用一张纸和一支笔对虫洞的生成做了个精彩的演示。那张纸代表爱因斯坦的“二维”时空,他先用笔在纸面画上间距分开的两个点,分别代表了前后两个任意的时空,比如,今日十二点正的地球相对一万年前半夜十二点的遥远的某星系某星球。既然面可以假设弯曲,那么面也可以假设折叠。于是,Romilly将纸弯曲并对折,使原来前后分开的两个时空点相互接近甚至接触。他再用笔刺穿了纸上两个点的重叠处,于是虫洞就如此这般奇迹诞生了。换言之,宇航员就像那支笔一样可以穿越时空,或前穿或后穿,如图

你相信上述的科学吗?事实上,穿越时空的假设是建立在一系列假设的逻辑推理假想而已,不是真的:

  1. 假设的时空不可折叠。爱因斯坦假设的时空不是“二维”之面而是“三维”之体,你如何折叠一个“三维”体??

  2. 时空本身就是个假设。爱因斯坦在数学操作中假设时间为另一个空间维度而由此发明了时空的概念。现实中时间只是空间变化的历史,并不是实际的存在,换言之,时间是虚假的意念存在而不是真实的空间存在。

  3. 几何的空间维度本身也是个数学假设,事实上我们一直就生活在一个多维的空间。维度也就是空间的走向,所谓的几何维度实为一个凭空捏造的理念,基于笛卡尔为计算空间点位置的方便而发明的坐标系。维度的定义来自欧几里德几何,零维被定义为占零空间的点、一维占零宽度的线、二维占零厚度的面。现实中有谁真见过不占空间的点、无宽的线和无厚的面??可见,

  4. 几何就是假的,而爱因斯坦的相对论正是以几何为数学基础的理论。

综上所述,艺术上的穿越基于了科学上的多重连环假设,其中没有一环得到过实证。任何没有实证的假设都不是真的、都不靠谱。

其次,除了通过一系列假设而凭空捏造的虫洞,《星际穿越》的另一个科学假设就是黑洞。由于黑洞引力特大,接近黑洞的生命就相对活得特长,与之相应的时间也相对变得特慢,因此远航到黑洞附近的宇航员相对地球而言大大“延长”了生命,他们在黑洞附近活过的几十个小时相当于在地球上的几十年。显然,该剧的科学顾问、理论物理学家Kip Thorne(故意)忘记了计算由于引力增加而引起的宇航员的体重增加,换言之,按剧情接近黑洞,Cooper等的体重起码要增加相当于他在地球体重的好几万倍,那么,剧中的Cooper等如何能轻松地生活和作业而没被自身的体重压死?

最后,当然就是Brand教授几十年解决不了,由Cooper的天才女儿Murph解出的那个万能方程公式,完美诠释了万有引力的奥妙,继而成功地把拣选而数量有限的幸存者带离了末日降临的地球。什么叫万能公式或称万物理论?就是完美结合宏观相对论和微观量子力学以后推演出的全能全智的数学公式,再加用于拯救世界的全善。哲学上,相对论是决定论而量子力学是随机论,祈求两个本质上矛盾的理论实现统一并属实,理论上和实际上的难度相当于论证上帝的存在,科学与神学的完美结合。

好莱坞的科幻实为宗教,现代科学的发展不但无碍宗教,反而为宗教神学提供了更多的假设、更广的假想,因为科学的前身就是古希腊的形而上学,而形而上学与神学共享了同一个超自然的思维。就穿越科幻片而言,我认为2016年的《降临》更有创新性(参见我的回答)。做科学的确需要创新的想象和假设,做神学也一样。如何区别神学和科学、其中再夹个形而上学,正确引导青少年热爱科学、识别神学?这是项技术挑战性很强的教育任务。

据我了解以《星际穿越》中的那种科技水平,人类还无法进行恒星际旅行。因为那时的人类没有能力建造出亚光速飞船,也无法制造出虫洞。虽然宜居的系外行星可能就在几十或者几百光年之外,但这个距离还是太遥远了,那时的人类无法在短时间内飞到。

但“意外”出现的虫洞让《星际穿越》中的人类有了希望,因为虫洞可以通往非常遥远的宇宙。于是,借助虫洞,人类得以实现跨度达到100亿光年的星系际穿越。最终,人类不但找到了控制引力的方法,而且还找到了新的宜居星球。 我觉得人类总有一天会把活动范围扩到太阳系外,但是交通工具绝对不是火箭飞船吧?首先它的速度都难以达到光年,就算达到光年,外出一趟也不容易。况且人体在高速运动还能是一个整体吗?好多变因都好难预测。更加希望编剧的脑洞开大到主角的所靠我们所未曾见过的交通工具。毕竟我们都已经信息时代,分子时代,或许人类可以先分解然后利用分子信息传递来到另一个星球后在重组?

确切的问法应该是该剧有哪些不靠谱的科学假设?与宗教相似,艺术求创新不求论证或实证,没有错误可言,大凡能卖座的艺术和宗教肯定错不了。

该剧力求科学严谨,还请了个理论天体物理学家做技术顾问。天体物理学算得上是一门最有代表性的科学,科学做学问的基本思路就是理论假设,接着对理论进行论证或实证,实际上就是古希腊人发明的形而上学逻辑论证。扫读了下已发表的回答,不妨补充下《星际穿越》的三个最基本的艺术夸张和科学误导,虫洞、黑洞和万能公式。

首先,虫洞是个理论假设,基于爱因斯坦的相对论。相对论推断时空可以弯曲,虫洞就是基于时空弯曲这个推断的进一步假设。理论上在表达相对论时为了视觉方便,“三维”之体的时空往往画成“二维”的面,如图,

剧中科学家Romilly用一张纸和一支笔对虫洞的生成做了个精彩的演示。那张纸代表爱因斯坦的“二维”时空,他先用笔在纸面画上间距分开的两个点,分别代表了前后两个任意的时空,比如,今日十二点正的地球相对一万年前半夜十二点的遥远的某星系某星球。既然面可以假设弯曲,那么面也可以假设折叠。于是,Romilly将纸弯曲并对折,使原来前后分开的两个时空点相互接近甚至接触。他再用笔刺穿了纸上两个点的重叠处,于是虫洞就如此这般奇迹诞生了。换言之,宇航员就像那支笔一样可以穿越时空,或前穿或后穿,如图

你相信上述的科学吗?事实上,穿越时空的假设是建立在一系列假设的逻辑推理假想而已,不是真的:

  1. 假设的时空不可折叠。爱因斯坦假设的时空不是“二维”之面而是“三维”之体,你如何折叠一个“三维”体??

  2. 时空本身就是个假设。爱因斯坦在数学操作中假设时间为另一个空间维度而由此发明了时空的概念。现实中时间只是空间变化的历史,并不是实际的存在,换言之,时间是虚假的意念存在而不是真实的空间存在。

  3. 几何的空间维度本身也是个数学假设,事实上我们一直就生活在一个多维的空间。维度也就是空间的走向,所谓的几何维度实为一个凭空捏造的理念,基于笛卡尔为计算空间点位置的方便而发明的坐标系。维度的定义来自欧几里德几何,零维被定义为占零空间的点、一维占零宽度的线、二维占零厚度的面。现实中有谁真见过不占空间的点、无宽的线和无厚的面??可见,

  4. 几何就是假的,而爱因斯坦的相对论正是以几何为数学基础的理论。

综上所述,艺术上的穿越基于了科学上的多重连环假设,其中没有一环得到过实证。任何没有实证的假设都不是真的、都不靠谱。

其次,除了通过一系列假设而凭空捏造的虫洞,《星际穿越》的另一个科学假设就是黑洞。由于黑洞引力特大,接近黑洞的生命就相对活得特长,与之相应的时间也相对变得特慢,因此远航到黑洞附近的宇航员相对地球而言大大“延长”了生命,他们在黑洞附近活过的几十个小时相当于在地球上的几十年。显然,该剧的科学顾问、理论物理学家Kip Thorne(故意)忘记了计算由于引力增加而引起的宇航员的体重增加,换言之,按剧情接近黑洞,Cooper等的体重起码要增加相当于他在地球体重的好几万倍,那么,剧中的Cooper等如何能轻松地生活和作业而没被自身的体重压死?

最后,当然就是Brand教授几十年解决不了,由Cooper的天才女儿Murph解出的那个万能方程公式,完美诠释了万有引力的奥妙,继而成功地把拣选而数量有限的幸存者带离了末日降临的地球。什么叫万能公式或称万物理论?就是完美结合宏观相对论和微观量子力学以后推演出的全能全智的数学公式,再加用于拯救世界的全善。哲学上,相对论是决定论而量子力学是随机论,祈求两个本质上矛盾的理论实现统一并属实,理论上和实际上的难度相当于论证上帝的存在,科学与神学的完美结合。

好莱坞的科幻实为宗教,现代科学的发展不但无碍宗教,反而为宗教神学提供了更多的假设、更广的假想,因为科学的前身就是古希腊的形而上学,而形而上学与神学共享了同一个超自然的思维。就穿越科幻片而言,我认为2016年的《降临》更有创新性(参见我的回答)。做科学的确需要创新的想象和假设,做神学也一样。如何区别神学和科学、其中再夹个形而上学,正确引导青少年热爱科学、识别神学?这是项技术挑战性很强的教育任务。

就我所知的地质学知识而言,这种星球可能不太合理。
因为这种环境下,常见的岩石都会被破碎,剥蚀,和水混合,像泥浆一样四处翻涌……
因为长期处于浪基面以上的剥蚀环境中,海底表层应该是松软的沉积物,巨浪袭来应该会裹挟大量砂质,而浑浊不堪,而不是电影里那种清澈海水。

所有说"人类的科技与认知有限,任何颠覆理论的存在都是有可能"的人,我赞同你的观点,但是不赞同这种思维方式。



因为这种想法,直接放弃了思辨,让这个探究可能性的问题变得毫无价值。

我认为这种惰性思维,就好像放弃、忽视甚至反对科学,将一切归于神秘、未知与神灵的信徒一样,虽然无法反驳,但没有任何建设性意义。

本文来自投稿,不代表本站立场,如若转载,请注明出处:https://www.cxcxb.com/artdetail-53140/
 推荐视频

钻石般的她

路易莎·拉涅瑞 杰丝敏·特丽卡 斯特凡诺·阿科尔西 卢卡·巴尔巴罗萨 萨拉·博西 洛雷达纳·卡纳塔 杰皮·库奇阿里 安娜·费泽蒂 奥罗拉·乔维纳佐 妮可·吉玛多 米莱娜·曼奇尼 维尼乔·马尔基奥尼 葆拉·米纳乔尼 爱多阿多·普尔加托里 卡尔米内·雷卡诺 艾莱娜·索菲亚·里奇 卢妮塔·萨维诺 凡妮莎·斯卡莱拉 卡拉·西格诺里斯 卡夏·斯穆特尼亚克

观世音国语

赵雅芝 任达华 吴君如 刘丹

三星堆里有个村

黄品沅 杨迪 赵海燕 张歆怡 吕昀峰 赵亮 刘仪伟 郑彧垚 毛明睿 庞润宇 张小红 曾晓琴 毛禹俊辰 魏珍珍 紫鸢 侯少见 巫兴义 黄海波 车大全 周帝 湛瑞雪 马永华 卿玉婷 刘期军 温成良 刘诗兵 罗润波 林中述 湛方保 范伦建 魏盛江 王友顺 游洪清 林明举 袁宗俊 余诗海 庄景伟 卿尚军 黄兴利

雷杰普的精彩人生7

沙汗.古克巴卡尔 Öznur Serçeler Irfan Kangi

无名指国语

郭富城   许恩怡   鲍起静   梁咏琪   谭耀文

神鬼猎人:在结冰的路上

Milo Parker Anke Engelke Bastian Pastewka

美少女战士Sailor Stars国语

三石琴乃 久川绫 富泽美智惠 筱原惠美 深见梨加 荒木香惠 石田彰 古川登志夫 古谷彻

朋克 三角

长野凌大   藤林泰也   雏形明子   栗原类   中村純猛   秋谷百音   姫子松柾   大川優羽   鈴木恒守   凜大

穿越时空的少女1994

内田有纪 河相我聞 鈴木蘭々 菅野美穂 山下真希 森本レオ 吉沢京子 安室奈美恵 塚本信夫

手机刑事-钱形舞

堀北真希 山下真司 金刚地武志

 用户评论
 正在加载